Mary Cummins, Mary, Cummins-Cobb, Cobb, Los Angeles, California, Animal Advocates, Cummins Real Estate Services, lawsuit

Filings, motions, evidence, exhibits in Mary Cummins, Bat World Sanctuary, Amanda Lollar lawsuit.

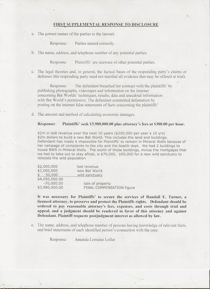
Cause no. 352-248169-10 filed in the 352nd Judicial District of Tarrant County, Texas. Judge Bonnie Sudderth over saw the case. Judge William Brigham presided over the trial. Judge Jeffrey Walker presided over the motion to recuse. Plaintiff is represented by Attorney Randall aka Randy Turner with Bailey & Galyen in Bedford, Texas. Defendant Mary Cummins of Animal Advocates in Los Angeles, California is pro se. Appeal filed in Second Court of Appeals in Texas Case # 02-12-00285-CV.

I am posting information about the appeal here.

This page has been posted in response to libel and defamation posted by Amanda Lollar, Bat World Sanctuary. They are making libelous and defamatory untrue statements about me. This page is here to post the facts and truth about this lawsuit. I reported Amanda Lollar of Bat World Sanctuary for animal cruelty and neglect. In retaliation she sued me for defamation. On top of this she defamed and libeled me. I was forced to sue her in California Federal court. More info on the Mary Cummins vs Amanda Lollar, Bat World Sanctuary and John Does is here. I was also injured while at Bat World Sanctuary. I had to file a personal injury claim against Amanda Lollar and Bat World Sanctuary which is here.

Bat World Sanctuary, Amanda Lollar lawsuit page two. I don't know if the bottom half of my page is getting hacked down or the page is just too big. So here is the first part of the page.

May 11, 2012: Back from hearings in Texas. Eight motions were heard yesterday. They were as follows.

Plaintiffs' motion for contempt and to strike pleadings. They were trying to force me to pay $100/day for each day I didn't turn over my home address. My motion objecting to this was heard at the same time. Denied. I was very relieved. I was very worried about this motion. One interesting thing was that any money would have been paid to the court and not Plaintiffs.

Plaintiffs' second motion to amend the temporary injunction. Also heard Defendant's objection to this motion. Judge took it into submission. She will rule on this and their first motion to amend temporary injunction by Monday. She said she will not force me to remove things I didn't write or don't control. I hope she also won't force me to remove things that aren't about Plaintiffs or are not defamatory. Randy Turner wants to get photos and videos of himself removed. He's not a party to this action. It's too late for him to intervene or add himself as a party. They want to remove my entire blog and entire website. That would be overly broad. Plus, it would affect my group's income. They also want to remove other people's websites and blogs. Randy Turner told the Judge paraphrased "you get an injunction and the websites just remove the items as TOS violations." The Judge basically said that isn't proper. I think she means it's not right for Randy Turner to take an injunction against me and tell websites to remove other people's web pages. Randy Turner needs to just write nasty threatening letters to the websites to get them to remove the items he doesn't like. He's already done that with my Flickr and YouTube photos, videos. In court he denied threatening to sue websites. He did indeed threatened to sue Indybay. They admit this in their letter.

Defendant's motion to compel discovery. Approved. They must give me the name of Kat the intern from Sweden with contact info.

Defendant's objection to Plaintiffs' motion to exclude witness. Plaintiff withdrew their motion so this was not heard.

Defendant's motion to strike pleadings and witness testimony. I argued that Plaintiffs' second amended petition was outrageous, scandalous and defamatory which it is. I also argued that Amanda Lollar had perjured herself repeatedly. Denied. Judge said all of her testimony cannot be stricken en toto as per rule 166a. It can only be stricken in part. I forgot to tell the Judge about Amanda Lollar denying the discovery documents she gave to me under oath. I really think there is something major wrong with Amanda Lollar. At least 85% of what she said on the stand yesterday was total lies that I can easily prove with documents. She even had the nerve to say that her income is way down. She had to refinance to stay afloat. He income has almost doubled. Judge said I could say this. I just can't share her financial documents. Her income was about $93K in 2010. It was about $175K in 2011. There were no damages.

Defendant's motion to dismiss. Even though service was not proper and they never filed notice of service, I appeared so it was moot. I also pled lack of jurisdiction, failure to state a claim and improper venue. Denied.

Defendant's motion to void injunction. I told the Judge about Randy Turner and his client sitting behind me and saying that Turner is a long time friend of the substitute Judge and the Judge will do what he wants. Judge Bonnie Sudderth said Judge William Brigham is a very fair and ethical Judge. She said he would not do that. Randy Turner was just lying to scare me as he usually does. Now that I can believe. Anyway Judge did not want to rule against something which another Judge ruled on. Plus, we're on the eve of trial. I'm fine with this. All those things that could be removed were already removed. Nothing lost here.

Even though I filed a motion for contempt because Plaintiffs did not give me all discovery, it was left off the schedule. Judge said they can hear that right before the trial starts. I need to call the court and see if I should purchase airfare and for what date.

Judge Bonnie Sudderth was again fair in her rulings. She treated me kindly even though I'm pro se. I call on Monday to see what happened with the motions to amend the temporary injunctions. I then have to call before trial to see what happened with the motion for summary judgment. I will continue preparing for trial.

May 8, 2012: Guess who was libeling and defaming me on Guidestar and Great Non-profits? Rebecca Dmytryk of WildRescue and Amanda Lollar of Bat World Sanctuary. Results of subpoenas coming in. And fyi hacking is a federal crime.

May 7, 2012: Texas attorney Randy Turner just filed a motion to compel me to answer his fifth request for discovery and to give him my home address. I gave him these things over a month ago. Alzheimer's? He is now withdrawing said motion.

May 5, 2012: Texas attorney Randy Turner just filed another ridiculous motion trying to get my exhibits and evidence excluded from my motion for summary judgment. This one is going to bite him in the ass the same way his motion to exclude my expert did. He shoots from the hip without looking again. I'll post my reply on Monday. Need to celebrate Cinco de Mayo first.

May 3, 2012: Amanda Lollar of Bat World Sanctuary just took in 28 more fruit bats. If she claims she is broke, why is she taking in more bats? Signs of a hoarder? Her fruit bat enclosure is not big enough for all those bats. That enclosure was totally packed last time I was there. That was before she got about 50 more fruit bats. That means she should have about 200 bats on that side. We're talking big fruit bats, not tiny insectivorous bats. Bat World suggest this minimum caging for fruit bats, 10 fruit bats 12' x 12' x 7.5'. She has about 200 fruit bats as far as I can tell. They would need 20x the space or 14.4 ft.sq. per bat or 2,880 sq.ft. The current enclosure is about 20 x 30 or 600 sq.ft. max. She is obviously keeping those fruit bats in cramped quarters. Her own standards prove they are too small.

April 29, 2012: Was writing up some legal docs for my Federal case against Amanda Lollar and Bat World Sanctuary. That's when I saw this, "This page contains accurate information and has been approved by my attorney." Her attorney Randy Turner of Bailey & Galyen approves web pages which are pure libel? He knows I've never been convicted of a crime. That is what that page said. I highly doubt Randy Turner would approve of such libel and defamation. Amanda Lollar does not care if she gets her attorney in trouble. Now she speaks for him.

April 24, 2012: During Amanda Lollar's deposition she said "you should be in jail." I asked her why. She said basically because I supposedly lied about her in my reports. I asked her if she filed a report against me with the police for filing a false report. She said she tried but they wouldn't take the report. Then she said that I stalked her, hacked her email list. I asked her if she reported me to the FBI. She said she tried to file a report with authorities but they said they couldn't do anything. FTR I filed honest reports against her. The authorities took the reports and investigated. The health department told her she had to make changes. TPWD told her she can't allow her bats to breed. USDA said she must follow regulations. Amanda Lollar tried to file a false report against me. Authorities did not investigate. Who has more credibility? Definitely not someone who didn't go past the ninth grade, and lied about it under oath.

Amanda Lollar and Bat World Sanctuary posted this on their Facebook page, "Not one penny of what you give will be spent on salaries. Your money will not be spent on administrative costs." That's not actually true. Bat World Sanctuary pays Amanda Lollar $1,500/month to supposedly rent part of her home. ALL home rehabbers I know don't charge their group rent. I sure don't. This is Amanda Lollar's only income. She pays her bills with this money. She is taking money from Bat World. She should at least be honest about it.

April 23, 2012: Was reading through February 9, 2012 transcript of our hearing. Randy Turner offered to take down my depo videos if I take down his video. "MR. TURNER: We would be agreeable to taking down all videos, if it's a two-way street, including the videos about me staring at her crotch." We were supposed to stay after court and work something out. Instead Randy Turner spoke for about a minute then ran out of the court room. I offered to take down all videos and make all discovery confidential. They did not reply.

This was also from those minutes. Randy Turner said this which is completely untrue, "Bat World has suffered a huge decrease in donations as a result of the defamation." Bat World is making more money than ever before.

Amanda Lollar has basically admitted that the Bat Castle was a failure. Bats don't want to stay in it. She will continue to move "small bunches of male bats" only as maternity season is drawing near. She admits that she didn't get the structure built in time. I don't believe she knows what she's doing.

April 20, 2012: May 10, 2012 2:30 p.m. nine motions will be heard in Texas. My motion for summary judgment will be taken under submission May 14, 2012. We are set for trial the week of June 11, 2012.

During the injunction hearing Amanda Lollar got up on the stand. Her attorney Randy Turner was leading her with his questions. He needed her to say she was suffering financial damages because of my supposed defamation. Finally she shed some crocodile tears and said she may not be able to keep Bat World open. I caused their income to go down. Those words were of course not true. Perjury. I could tell from her Facebook, batworld. org and chip-in pages that she was making more money than ever before. There was no defamation. There were no financial damages. This case should be dismissed.

On Amanda Lollar's Bat World Sanctuary website she states "Every penny we receive goes directly into our rescue efforts for bats." Not true. She takes $1,500 a month from Bat World Sanctuary and pays her own personal bills. I don't charge my organization rent even though it takes up most of the space. I even donate the income from my ads to Animal Advocates. Maybe I should take back my donations and start charging my group rent like Amanda Lollar.

No more updates on the "Bat Castle." Looks like it could end up being a bat tomb instead or totally vacant. By moving the bats daily Amanda Lollar is stressing the bats. If they mate and if they get pregnant their babies may die or be dropped. Most likely the babies will die. She should have asked true professionals for advice. I wonder how Chase will feel about the castle they paid for. It was most likely a waste of funds and may have even killed bats.

This brings me back to my previous predictions. I doubted the bats would prefer the castle over their current location. Their current location is warmer. It is a building sandwiched in between two other buildings which are heated. Their current location has more food. Insects are attracted to the city lights at night. While I was there I went outside a few times and saw them eating the insects in front of the lights. There are no lights at the castle. Bat rehabbers in my area have an outdoor light source to attract insects to the outdoor bat enclosures. Their old location has deep crevices in the walls for the babies. The current one does not as far as I can tell. These are after all "crevice bats." Their previous location smells like them. Boy, does it. The castle smells like new paint, probably treated wood and fresh cement. Amanda Lollar doesn't really know what she's doing. She may have caused a year of babies to die besides wasting money on the structure. She's also stressing out the adults. They are more likely to contact rabies in this situation. There is also a greater chance of spreading rabies in the new location and on their trek back to the old location. If you build it, bats will not just come.

April 19, 2012: Guess how many times Amanda Lollar said "I don't recall?" 94 times. Guess how many times she said "I don't remember?" 34 times. Amanda Lollar said "I don't recall" or "I don't remember" 128 times in her deposition. Not a reliable witness at all.

Received Amanda Lollar's deposition transcript last night. I will start posting her perjury and other info here. First I will post what Amanda Lollar said about her memory. I asked her "This is a legitimate question. Do you have any physical reason that would affect your ability to recall?" to which she responded "I can't remember every post I made two months ago or even last week much less six months ago or a year or two years ago." Mind you I was asking her about very recent posts she made about me within the last two weeks. "I don't recall" was her most common answer. She doesn't seem to recall anything. I tried to ask this same question in her Texas depo but Randy Turner would not let me ask it. Amanda Lollar has admitted under oath that she is not a credible witness.

April 18, 2012: Things are again getting ridiculous. Seems after I sent in my motion for contempt attorney Randy Turner got upset and started a paper war. He filed three motions then I filed a Motion to Dismiss, Motion to Strike Pleadings and Witness Testimony, Objection to Plaintiffs' Second Amended Motion for Temporary Injunction, Amended Objection to Plaintiffs' Motion for Contempt and to Strike Pleadings, Motion for Contempt and Motion to Void Injunction. Ten motions between the two of us in two days. That's not crazy. I still have a Motion to Compel that I filed in February that has not been heard and my Motion for Summary Judgment which I filed in January. Randy Turner filed a Motion to Strike Pleadings and Contempt, Motion to Amend Temporary Injunction and a Motion to Exclude Expert Witness. He no longer wants the Motion to Exclude Expert Witness set for hearing. I sent a letter to the Judge asking that my objection to his motion to exclude expert witness still be heard. I need to clear the name of my expert. Randy Turner has libeled and defamed an expert witness. He should at the very least withdraw his motion. This really shows what a piece of work Randy Turner is to attack an innocent bystander in this lawsuit.

Forgot to send a check with my motion for contempt. Just sent it. I asked to see something in the court file. The citation was checked out. I can't believe Texas only has paper files and an entire case could be checked out. What if someone were to not return a document to the folder? I was then referred to the legal help line and the Tarrant County Bar Association attorney referral line. There is no way I would ever call those numbers again after what happened last time. That would be as productive as calling Turner's office and asking him for free legal help. Just filed an amended objection to plaintiffs' motion for contempt and to strike pleadings.

April 17, 2012: I meant to post this a while ago. It's the result of a discovery request. It's Amanda Lollar's vet record for her dog.11/22/2010 Amanda is considering euth'ing her dog Pooply. Vet said the dog actually looks okay but it has moderate periodontitis. It's also having diarrhea due to antibiotics. *** 12/01/2010 dog is doing better, eating fine. 01/31/2011 The vet makes a house call. The dog has very poor body condition and cachexia, i.e. severe wasting. Severe dental calculus, end stage periodontitis. Lollar wants to euth her dog and he is euth'd. Why didn't Lollar treat the periodontitis? Why did she let it become end stage periodontitis? You know how painful that would be to have your entire mouth, teeth, jaw bone infected? No wonder the dog couldn't eat. *** I'm amazed she turned this record over to me. I personally feel this is animal neglect.

AMANDA LOLLAR COMMITS PERJURY! Actually she's committed perjury all through out these proceedings. Here is a major example. In Amanda Lollar's 1994 manual she recommends freezing bats to death. First you put them in the frig to put them in torpor then you move them to the freezer to kill them. After she wrote this bat experts chimed in and said it is inhumane. Amanda Lollar then wrote a letter defending her recommendation of freezing bats to death. She still didn't realize the basic mechanics of bat torpor. Later she realized it was inhumane. Instead of saying that she was wrong she decided to deny she ever said that. This is the Amanda Lollar way i.e., deny, lie, perjure, blame others. In fact Amanda Lollar blamed the person who stated freezing bats to death was inhumane for telling her to freeze bats to death. This NEVER happened! I since got ahold of the original 1994 manual which clearly shows Lollar recommended freezing bats to death. Lollar now states it's been edited. No, it has not.

I just filed an objection to his motion for contempt and to strike my pleadings. He has absolutely no basis for either. He just doesn't want to have to answer my motion for summary judgment.

April 16, 2012: Here we go again. Texas attorney Randy Turner is papering me to death again even though the Judge told him to knock it off. He just filed his second motion to amend the injunction. I then filed an objection to that motion. Then I filed a motion to void the injunction altogether. He never proved that I authored/posted the items, the items were defamatory, that I signed a contract, that the items were proprietary or copyrighted or that she was being damaged. Get this! Amanda Lollar of Bat World Sanctuary in her motion stated that her own 1994 manual is "defamatory." Looks like she needs to add herself as a defendant because she wrote that manual. In her LA depo she claimed that the page on freezing bats to death was altered. She claims she did not write that. That is in the manual I loaded online. This is even funnier! After I posted her 1994 manual on the Internet she filed a claim stating she owned the copyright to the manual. Her manual said it could be shared in whole or in part. That means she claims to have written the "defamatory" manual. I have the copyright reports. On top of this she states my web page devoted to my Federal lawsuit against her is also defamatory. I am suing her for defamation and libel. How is that defamatory?

April 14, 2012: Randy Turner filed a motion to exclude my handwriting expert. He claimed she is not an expert at all. Funny thing is his firm hired her last year for a trial for his partner in 324th District in Tarrant County, Texas. She is of course a highly qualified expert. He libeled and defamed a highly qualified expert. He really doesn't care whom he hurts in this case including totally innocent bystanders. I filed an objection. Yet another mistake for Texas attorney Randy Turner with Bailey & Galyen. He filed two other motions to which I will be responding.

April 13, 2012: Amanda Lollar is in contempt of court. She refused to provide documents to me which the Judge ordered her to produce. Here is the filing

A couple of months back Randy Turner stated that he doesn't receive my emails. They supposedly go straight to a spam folder. That is not true. One, I emailed only him my home address. He received it and noted it. Two, today he accidentally replied to my email instead of emailing Amanda Lollar. Perhaps he wanted me to see that he was giving her honest legal advice for once? I can't reveal what he said in his email which was privileged communication with his client. I can say that he's a liar when he says he's not reading my emails. I can see when and where he reads it.

In the most recent video I noticed that Lollar mounted quite a few bat houses to the outside of the wild bat sanctuary. Did she finally exclude the bats from the building? Or is she just trying to trap and move some bats?

April 11, 2012: Amanda Lollar of Bat World Sanctuary just posted video of her transporting bats to the new "Bat Castle." Does she have permission from TPWD to do this? It's illegal to relocate healthy wildlife. Why isn't the person wearing gloves? Does he have his pre-exposure shot? This is how rabies can spread. As I predicted the bats did not stay in the castle. They flew back to their bat house in town. This is what Lollar wrote "April 11, 2012: As predicted, the bats who were transported to the Bat Castle on the morning of April 10 flew back to their bat houses that night. On the morning of April 11, the bat houses were once again removed and taken to the castle, so the bats could again be released inside. Like other animals, bats learn by repetition." So she will continue to harass these bats day after day. Maybe they will not mate or their babies will die from this harassment.

April 10, 2012: Lollar did another low quality phone-in online radio station interview. She basically told the host that if we lose bats, that will be the end of the human race. Lollar said what harms bats most is one person picking up a rabid bat. The media picks up the story which then gives bats a bad rap. The interviewer who seems like a true animal lover told Lollar "you are clearly hooked on bats." He said that all info he found on bats were from people who really like them. He said he didn't need for people to find them cute or love them. He just wanted them not to desire to kill them. She said her new sanctuary will hold 100,000 bats. He asked if people should Google her name for more information. She said it would be better if they went to the website instead. She said her past book is out of print but they can buy her new book online. She admitted that she combined the old book into the new one. Lollar then said that bats should be protected like birds. She said there is a migratory bat act but it only protects migratory bats. She says all bats should be included because they all migrate. Some may only migrate 100 meters down the road. (My comment: Obviously flying out of a cave to eat food is not "migrating." The migratory bat act was made to protect bats that migrate from one country to another. It's a Federal act.) Then she begged for money. "We do the hard work in the trenches. You just need to donate money." She also said they won't be offering training in the immediate future but may pick it back up at some point. She said "every penny goes to bats." (No, it doesn't. $1,500 a month goes into her personal pocket as per her TX depo. I personally feel she is probably taking more than that.)

April 6, 2012: Amanda Lollar lied under oath today in her deposition in my lawsuit against her for libel and defamation. She contradicted what she said at her last depo. In her last deposition she admitted to posting that I was a "convicted criminal." Today she said she never posted that and never said that ever. At her last depo she said she finished the 10th grade. Today she said she only finished the 9th grade and never said 10th grade. I just compared depo minutes and videos. No credibility! There were 50 more major discrepancies.

I asked her to read an article and circle the comments she made. She started thinking out loud. I told her to just read the article. She said she has to think out loud. She made some of the craziest impossible accusations about me. She even denied giving me certain discovery documents. She said she had no idea where they came from. She also threw her Texas attorney Randy Turner under the bus. She says he only gave her one of my cease and desists. She also acted very nasty to me today, very childish. I pity her LA attorney. He was polite and professional unlike her Texas attorney.

April 3, 2012: White Nose Syndrome has spread to Missouri. Here is a map which shows the extent of the spread of the fungus and the area where bats hibernate. I see no hibernation sites in Texas on the map. Again, Amanda Lollar is begging for money to fight white nose syndrome when she doesn't treat hibernating bats. She is just using WNS to raise money for herself.

In other news a new rabies report came out which shows that most human rabies in the US are caused by bats. The bat most likely to give rabies to a human is the Mexican free-tail bat. That is the most common bat which Bat World Sanctuary treats. The state with the most rabid bats is Texas. Most rabid bats found in Austin and near Mineral Wells. The wild sanctuary at Bat World Sanctuary could be the most likely place one could get rabies. In fact a rabid bat bit a toddler on the cheek directly next to the sanctuary. It is for these reasons that Amanda Lollar needs to follow proper rabies protocol. She is still showing photos and videos of her holding bats without gloves. That is a big "no no" in the bat world.

April 2, 2012: Not one person or group wrote an amicus brief or letter in support of Turner's case about the sentimental value of pets. Anyone or group could just write a short letter like this one that the Texas Veterinary Medical Association wrote. I'm actually shocked that no animal group was willing to step up to the plate and write a letter.

No reply from Turner's office about the missing discovery information and documents. I will have to file a motion for contempt and sanctions. I have a feeling the Judge will give us only one pre-trial hearing to hear all motions. I'm all for that. I haven't been able to take babies in because I know I can be dragged to Texas at any time.

March 30, 2012: Just received the Judge's order in the mail. Amanda Lollar must turn over her bank statements, PayPal statements, credit card records, mortgage info on her property for the last two years. She may redact names, addresses and account numbers only. I cannot share these documents. I can share the fact that she didn't fully abide by the Judge's orders. I sent a request for her to comply to her attorney Randy Turner. Discovery is always like pulling teeth with Lollar.

One of my discovery requests was proof of rabies vaccinations for Amanda Lollar and her husband Larry Crittenden. They state they have no proof of rabies vaccinations. I will assume that means they didn't get rabies vaccinations.

Just responded to Amanda Lollar's fifth request for production and interrogatories. I can tell that she copy/pasted these requests from Stephen MacPhail's requests in her Los Angeles case. I guess she doesn't trust Randy Turner's legal abilities. Some of her interrogatory requests were actually document requests. She asked for quite a few things to which she is not entitled such as information about Animal Advocates and Cummins Real Estate. I am the only named defendant in this case. There is no time to add new defendants. Discovery is now officially over. I can't believe Randy Turner sent out these ridiculous requests. It looks like he's just throwing up his arms in this case. Amanda Lollar obviously thinks she knows more than her attorney. Next thing you know she'll be saying she is THE internationally world renown legal expert. Soon she'll be writing legal articles and even a legal reference guide. Maybe she'll even start practicing law without a license. Just keep her away from the scissors.

Amanda Lollar asked for video of Randy Turner nodding off and staring inappropriately. It's all throughout the video. Here is one clip of him doing both at the same time.

He's nodding off then staring at my chest. I quickly look up and give him an "excuse me" look. He then acts as if I'm interfering with his napping, staring.

March 28, 2012: Amanda Lollar was interviewed on Animal Voices an online Canadian site. Here's a summary.

More story telling. She states she co-authored the first medical reference for bats. There were actually many books written before her. She then states she wrote her own book which is the standards book. Again, she did not write the entire book. It's a 95% copy of the medical reference book which was written with Barbara French. I'm sure French wrote most of it based on Lollar's poor quality amateur 1994 manual. A lot of that book is cut/paste from other people's books. She just removed the credits.

Basically Amanda Lollar rattled on and on getting off track many times. She tried to dominate the conversation. It seemed like Lollar just wanted to show that she knew a lot about bats, is the Queen of bats and is better than everyone else in the world. It was "I did this research, I did that..." when she was supposed to be educating the public about bats. The interviewer needed to control Lollar better. The female interviewer also needs to control her own giggling. That was her basic response to Lollar.

Here are a few excerpts. Lollar tried to feed her first bat Sunshine a dead roach and a piece of apple. She assumed Sunshine was dying of rabies. Lollar says bats have better eyesight than most mammals. They are closely linked to humans, primates and lemurs. They are smart as dolphins.

There are five basic misconceptions. No need to go into them as we all know them. Coco palm oil would not be around if it weren't for bats. Of course everyone knows that palm oil is what is destroying rain forests and killing orangutans. Lollar says there is a 5% chance that a bat found on the ground has rabies. 72% of bats found on the ground were rabid in Mineral Wells. Does that mean Mineral Wells has more rabid bats than normal or is she lying?

Lollar states she tries to get females from zoos. They are more valuable because they make babies. Lollar had the nerve to say that "zoos don't do population control. We always get pregnant bats. The zoos that give us these animals are really horrible. It's a stressful nightmare situation for these bats." She is talking about the zoo where she got her recent bats. That would be the Calgary Zoo. She is bad mouthing them on the internet as usual. This is at 17:45 min into the program. She talks about how emotionally scarred they are. Lollar always badmouths the people who give her bats. I'm amazed they continue to give her bats.

She said she's raised over 2,000 bat pups yet only Lil' Drac rocks. She said it's not stress related. Actually animals rock in reaction to stress. Otherwise it's a sign of autism. She swears it's a joyous thing yet only one out of 2,000 have rocked. So all her other babies were depressed? I remember my depo. She and her attorneyRandy Turner were quickly and maniacally rocking in their chairs at me. They looked like two autistic kids on speed. Obviously not a "joyous" response to deposing me. The interviewer said there were many comments on Lil' Drac's video about his rocking saying it was stress related. I believe it was. When humans rock it is to comfort themselves.

Lollar remembered to attack the professor at A&M again. She said they take pallid bats out of the wild away from their friends, put them in solitary and do experiments on them. She said all labs and zoos say it's impossible to breed captive insectivorous bats. Only Lollar alone has accomplished this amazing feat because only she knows what she's doing. Well then how does Lollar get in pregnant bats from zoos and other places? Obviously they've been breeding. More bullshit.

March 26, 2012: Another day, another story. The old story was that they had to flee town because of reports I made to the health dept and City. The new story is that they will build a new bigger sanctuary next to the "Bat Castle" to house the current bat residents and assurance colonies of bats affected by White Nose Syndrome. Here is her line of bull, "Bat World Sanctuary is the only facility to successfully maintain a reproductive colony of insectivorous bats for almost two decades, and we are the only bat conservation organization currently stepping up to the plate to house assurance colonies of bats in peril. We have the expertise to house several species of bats and keep them safe until a cure for WNS is found and the environment is cleansed."

One, Amanda Lollar is not the only one stepping up to help bats affected by White Nose Syndrome. Lollar is one of many people, groups, government agencies who have offered to help such as Bat Conservation International, Fish & Wildlife to name but two. There are many people who are a part of the WNS working group. All of their names and email addresses are online. So far Lollar has not helped WNS bats at all. She just uses the disease to raise money for herself and her bats which don't get WNS because they don't hibernate. Two, it is illegal for her to let her bats breed. She does not have a breeding permit. It's illegal to let rehab or unreleasable bats breed. Three, she is not the only person who has maintained a reproductive colony of bats. There are man reproductive colonies of bats out there. BCI has a few on their property, so do others. Four, the environment will never be cleansed of the fungus. Most likely it will kill most hibernating bats in certain areas. A few will be immune and survive. They will reproduce and the next generations will be immune. This is what happened with the black plague. Now 80% of people in the world are immune to it. The stories never stop. Also, the page where you make donations is not secure. It's an unsecured donation form.

March 25, 2012: Amanda Lollar has been busy making more defamatory and libelous websites about me. I saved copies of all. She refers to me as the "individual" then links the word "individual" to my site. Legally she is still referring to me. I wish her lawyers would teach her a little bit about the law. Maybe they have and she just doesn't care that she is committing libel. She had the nerve to very recently post that I "admitted in depo to being sued over 20 times." No, I didn't.

Just looked at video of the new bat castle. They did not put rebar into the footer. The cement blocks are just sitting on the footer. I don't know about the laws in Texas but this is totally illegal in California. As far as I can tell there is no door into the structure. How will then get items into the building easily? Those four foot openings seem too short. I see they are using Mexican day laborers. I doubt any of this is to code.

March 23, 2012: I'm on a few lawyer lists to get legal info. They must think I'm a lawyer. They just sent me an email from a "law firm marketer." For a fee they can get you a Top Lawyer, Martindale Hubble, AV, Power Attorney listing. Then even offer to increase your rating with positive recommendations from them. This is what Randy Turner did to get his listings. It's all paid marketing. Anyone who has those ratings probably doesn't actually do a good job. If they did a good job, they wouldn't need fake ratings to get work. They'd get plenty by word of mouth. I see Bailey & Galyen has bought some of these ratings.

Randy Turner and Amanda Lollar used to be the number one and two top views of this page. Randy Turner is not viewing as much any more. Good for him. Amanda Lollar is still following this page obsessively.

March 21, 2012: There is activity in my Federal case against Amanda Lollar and Bat World Sanctuary. Here is the link. Amanda Lollar tried to get out of her deposition. I sent her another depo request. Her attorney Stephen MacPhail ignored it. I had to go to the magistrate judge in charge of discovery. She had a telephone conference call hearing instantly. She stated I gave enough advance notice. Amanda Lollar has to come to Los Angeles to be deposed. Judge even made Stephen MacPhail set the dates on the phone. I will be deposed April 5. She will be deposed April 6. Her attorney Stephen MacPhail had the nerve to misquote the law to me. He said I must depose Amanda Lollar in Texas or fly her to LA at my expense. Randy Turner also misquoted the law to me. Thank god for the Internet. I believe Amanda Lollar wants to be present for my deposition. That phone call took only a few minutes. If we were in Texas I'd have to file a motion to compel, set a hearing, go to the hearing, wait weeks to get an order. Federal court is very efficient. I think District court could save a lot of time and money if they handled pre-trial motions this same way.

I may post the minutes from the phone conference hearing. Amanda Lollar is lying to her Los Angeles attorney. It was deja vous. Just like Randy Turner Stephen MacPhail told the Judge some whopper lies. He said Amanda Lollar runs a sanctuary for endangered bats. She doesn't have endangered bats or even protected bats, only non-protected bats. Stephen MacPhail said Amanda Lollar is the only one who can care for these bats inferring she can't come to LA. Amanda Lollar has a paid volunteer and unpaid volunteers who care for these bats. Anyone can care for them. I cared for them. I told Stephen MacPhail that he should probably call Randy Turner to get some insight into his client. Amanda Lollar who hasn't gone past the tenth grade is making a fool of her Los Angeles attorney Stephen MacPhail. He also told the Judge that I posted the location where Amanda Lollar would be deposed. I did not. I posted my request for deposition which included my p.o. box address. I did not post where she would be deposed. She will be deposed in a large office building in downtown Los Angeles. Who cares. Everyone knows Stephen MacPhail's office address. That is where I will be deposed. That is not confidential. Stephen MacPhail needs to wise up before Amanda Lollar destroys his reputation like she did Randy Turner's.

March 17, 2012: Amanda Lollar is telling people in the City of Mineral Wells that she is building outside of the City limits. She is telling people outside of the City limits that she's building in Mineral Wells. I highly doubt she has any permits for the structure.

Amanda Lollar wants to change her deposition date. So far we are still on for this Wednesday in Los Angeles, California 9:30 a.m. I will be contacting the discovery judge Monday morning. I will also schedule another depo date in the alternative giving her ten days notice from today. I will also be giving the video of her Texas deposition to her attorney as proof of defamation and slander. She said crazy things such as the other intern and I let the bats out of their cages when we left, I dragged an old pallid bat out of her roost, I called my friend "fat" and I left unfed bat pups in a bat hut over night. All of these things are totally untrue. I can't believe she stated this crap under oath on video in her deposition. She'd better not plead insanity.

I just sent her another notice of deposition. Legally I must give ten days notice. I gave 11 days notice. She can be deposed this Wednesday March 21, 2012 as scheduled or March 28, 2012, same time, same place. Notice of taking of deposition of Amanda Lollar

March 15, 2012: Amanda Lollar and Bat World Sanctuary are telling the court and me that they have barely any money coming in. They may have to close down. Yet they are taking in more bats for lifetime sanctuary. They just took in three more bats last night, "an Egyptian, a big brown and an Indian Flying Fox. The bats, all special needs animals, were retired from the Calgary Zoo." If they are so poor, why are they taking in even more animals? Either Amanda Lollar is lying or she's a hoarder. i.e. someone who takes in more animals than they can properly care for. I personally don't feel her enclosure is big enough for a large flying fox. I know she just personally wanted one. Will these bats get the best care? Or will they end up dead and unnoticed under her desk like the one I found? Because of the financial and time drain from this lawsuit I'm taking in way fewer animals. I know my limits and care about providing the best care for animals. Just did some research. Her enclosure is not tall enough for a flying fox. I also don't think she has permits for a flying fox. She would need a Federal Fish & Wildlife permit which she told me she does not have. She is violating the Lacey Act.

Amanda Lollar had the nerve to ask me to depose her in Texas in the California case. Why would I pay to fly to Texas to depose her after she's dragged me to Texas so many times within the last year? She is crazy for even asking. I don't want to go back to Mineral Wells, Texas, pay for airfare, hotel, pet sitter, lose two entire days traveling. Her attorney tried to say that I'll be in Texas anyway for a hearing so I might as well depose her then. Why would I ever do this woman a favor? I asked to reset my depo and a hearing and they said no. I was even sanctioned.

I just realized that I'd offered to give attorney Randy Turner a copy of the video of him acting inappropriately. This was after he threatened to sue me for defamation for saying he nodded off. He said he did not want the video. In his latest discovery request he asks for copy of the video of him ogling. I'm pretty sure that Amanda Lollar is the one who wants the video. Perhaps she wants it so she can turn her attorney into the State Bar of Texas. I already gave them all the video I legally have to give them. I gave them all the video on the record.

Cinder blocks were delivered to build the "bat castle." I see a problem. If they were going to use cinder blocks for the walls they needed rebar in the footer if they will be building 16' tall. Maybe Texas has different building codes. The building will be considered an "out" building so they don't have to comply with all codes but still.

March 13, 2012: I may have to eat a few of my words. Bat World Sanctuary poured a footer. There are no brackets or rebar so I still don't know what they are doing. Perhaps they will build a little of it then beg for more money. I believe as per the contest they must finish their project by the end of March. I still see major flaws in their design. The structure must be warm enough to lure the bats. It must be almost completely enclosed like the current wild sanctuary. It has to get to 95 degrees for a maternity colony to be interested. They will also need protection from predators. I doubt the bats will move into the structure.

March 11, 2012: Seems Amanda Lollar is now whining and complaining about her attorney Randy Turner. She is complaining about his behavior in her deposition, i.e. staring, nodding off, texting, not paying attention. I was able to ask a few questions to which I was not entitled about her income because he wasn't paying attention. She's also whining about the fact that he isn't winning all the motions and isn't papering me with even more motions. Talk about looking a gift horse in the mouth. She should be lucky he even gives her the time of day after she dragged him into this frivolous lawsuit with lies. SHE is talking about reporting HIM to the Bar! She also thinks that there's "something" going on between me and Mr. Turner. That's why she wanted our emails. If he wants to give them to her, up to him. She's not getting them from me. I'm positive he won't be filing a motion to compel on those emails. He may just hand her a few professional ones and tell her that's all of them. Even if I did give him the emails he probably wouldn't give them to his client. They'd end up in the same place as the video of the second half of my depo wide angle view.

Amanda Lollar thought a few of her Bat World members were friends of mine and spies. Out of paranoia she kicked some of them out of her group. Maybe they were spies. Maybe they weren't. This is going to be VERY interesting. She has no problem sharing these thoughts with a few of her "friends."

It just gets better! Amanda Lollar is talking about getting another attorney! With her increased income from social media and some grants she wants to hire one that she can "trust" and "control." She has no case! What normal lawyer would take this case? Mr. Turner will soon be seeing her true colors for himself. Karma! If Turner takes leave as her attorney before she dumps him, I will have to remove everything I've written about him as I did with his partner. Time will tell.

Amanda Lollar seems to have social issues. She always manages to burn relationships. Her current issues with her attorney are just one example. Here are a few more. When I was at Bat World she had something nasty to say about everyone including Kate Rugroden who helps her a lot. She said Kate didn't know what she was doing. She also has nasty things to say about her husband. She said her husband will be getting a big bonus at work when his boss sells the business. She is just waiting for him to get the bonus so she can take the money, kick him out and divorce him. She told me he was a mooch, didn't contribute, didn't help out so she deserves that money. And now she's bad mouthing her attorney. She's also bad mouthing Bat Conservation International besides others.

Even more! The AVMA states they won't blindly follow Amanda Lollar's advice on euthanasia. I can't believe she had the nerve to suggest her methods of euthanasia! She's not a veterinarian! In the past she recommended two inhumane methods of euthanasia. ***. I could smell the Iso when she was trying to suture a bat. One can easily get high on that stuff. It causes brain damage. She really thinks she is the Queen of Bats, a Dr. of Batology. Perhaps too much Iso exposure?

They deleted two posts in questions. Here they are:

1. Gail C. Golab, PhD, DVM, MANZCVS March 11th, 2012 at 12:39 | #1 Reply | Quote @Lisa Evans We appreciate the continued conversation on euthanasia practices. The AVMA Panel on Euthanasia receives comments and suggestions as they are provided and evaluates them based on agreement with current science, professional veterinary experience, and consistency with criteria set by the Panel for euthanasia. Rceommendations for updates, revisions, etc, are not adopted without a critical analysis–as such, they are thoroughly “vetted” before adoption.

2. Lisa Evans March 10th, 2012 at 16:39 | #2 Reply | Quote @Amanda Lollar People should know that Amanda Lollar of Bat World Sanctuary is not a veterinarian. She has no training in animal care and did not go past the tenth grade. In her 1994 manual she recommended freezing bats to death which the AVMA has stated is inhumane. She later updated that manual and recommended using T61. That was also deemed inhumane. Currently she recommends soaking a cotton ball in Isoflurane, putting that in a tiny cup and putting that over the head of the bat. She does not realize that the bats are actually dying of asphyxiation and are not overdosing on gas anesthesia. That is inhumane. Please, take the advice of trained veterinarians instead.

I'm pretty sure Lollar thought I made that post then sent in a libelous email about me to the AVMA. I will be getting a copy of whatever she sent to the AVMA. I've been told that Amanda Lollar acts as if she's the attorney. She threatens to add people to her lawsuit as defendants. I wonder if her lawyer Randy Turner realizes that she's doing this most likely in his name.

March 9, 2012: My ex attorney Neal Callaway stated he did not fall asleep in my deposition. The court reporter then wrote a sworn statement saying that at no time did attorney Neal Callaway fall asleep. From the affidavit of Michael Navarro, Notary Public at Dolores Stewart & Associates in Fort Worth, Texas, "At no time did Ms. Cummins' attorney, Neal Callaway, ever sleep during the deposition. I was sitting at the same conference table that Mr. (Neal) Callaway was sitting at throughout the deposition and I would have noticed if he had slept." That statement was thrown out because it was hearsay. The statement was not true. The court reporter could not see my attorney Neal Callaway as you can clearly see from the photo below. The court reporter committed perjury. Neal Callaway sat two chairs over to the right away from the table and was leaning back. When the below still was taken Neal Callaway was stretching, then put his hands behind his head and yawned. The court reporter is sitting directly to my right looking at attorney Randy Turner. He can't see attorney Neal Callaway but I clearly can. This is the last video from my deposition. All the wide angle video from after the lunch break was supposedly lost, destroyed, Lord only knows. I saw them turn the video on for the second half but supposedly no video was recorded, so they say. The first I heard about the video being missing was right after the Judge told Turner to give it to me. Both Randy Turner and my attorney both did not want me to get the video of the second half. They didn't want me to have it because I told the Tarrant County Bar Association that I would be reporting both lawyers as soon as I got the video. I had no idea Turner's wife was a director at the bar association. The bar association gave my private conversation to Turner and Neal Callaway. Then the video was gone. I also stated that attorney Randy Turner nodded off in his client's depo. Turner vehemently denied it. Then I sent him video of him nodding off to prove it.

neal callaway attorney lawyer texas neal s. callaway

Neal Callaway attorney, lawyer in Texas at my deposition. Bar card number 03657020, 
1200 Summit Ave Ste 720, Fort Worth, TX 76102

March 9, 2012: New filings in the appeal of Strickland v. Medlen. Three amicus briefs were filed. One on behalf of the Texas Municipal League. The other on behalf of the American Kennel Club. Petitioner and Amici make good points. I can see both sides of this issue. It would have been better if the first test case was not against a government employee. Strickland has government immunity. It will be interesting to see how the Court rules. It's interesting that not one amici wrote an amicus brief for the respondent, i.e. Randy Turner and his clients. Only government agencies and pet businesses wrote amicus briefs for the petitioner. Turner does not have much support or following. I'm sure his behavior and past actions have something to do with it.

randy turner randall turner attorney lawyer texas bailey galyen yawningAttorney lawyer Randy Turner Randall Turner of Bailey and Galyen yawning right before nodding off in his client's deposition. We're only 56 seconds into a session after a break. How does one fall asleep instantly? I guess I am super boring.

March 7, 2012: The Judge in my Federal case against Amanda Lollar and Bat World Sanctuary was able to resolve our depo video issue. Only a professional videographer will video the depo. I will not also video the depo. If anything improper were to happen, I will let the record reflect that, end the depo and file an emergency protective order. I doubt anything will happen as this lawyer is polite and professional. I wish the discovery issues in the Texas case could have been handled by just calling up the judge on a conference call instead of filing motions, setting hearings and dragging me out to Texas. Federal court seems to be easier and better organized or maybe it's a California vs Texas thing. I don't know.

I specifically asked my attorney before my Texas depo about the video. I asked him if she could post the video. He said she could do anything she wanted with it. I believe this was some good ole boy routine. Of course I was able to videotape Randy Turner in his client's depo. Turns out he could have objected but didn't. I did at least realize that the video taken by Amanda Lollar, Larry Crittenden was inadmissible as evidence because a non-professional took the video. There are certain strict protocols which must be followed when videotaping depositions. They did not follow any of the guidelines not to mention the fact that they supposedly lost, corrupted, destroyed, whatever a lot of the video.

March 6, 2012: I just received a discovery and interrogatory request from Amanda Lollar and Randy Turner. I think Lollar wrote these. They are written similar to my requests in my Federal case against her. She is also asking for things which she is not entitled to such as items about "Animal Advocates." Animal Advocates is not a party in this lawsuit or the Federal one. She also asked for items related to my personal injury case against her besides other things to which she is not entitled. I believe they were late sending in this request so I don't have to answer. I may send in written objections anyway at the 30 day time period.

I was supposed to be deposed today in my Federal case against Amanda Lollar. Her attorney would not allow me to videotape even though I am entitled under Federal Rules of Civil Procedure FRCP 30(b)(3)(B) "(b) NOTICE OF THE DEPOSITION; OTHER FORMAL REQUIREMENTS. (3) Method of Recording. (A) Method Stated in the Notice. The party who notices the deposition must state in the notice the method for record- ing the testimony. Unless the court orders otherwise, tes- timony may be recorded by audio, audiovisual, or steno- graphic means. The noticing party bears the recording costs. Any party may arrange to transcribe a deposition. (B) Additional Method. With prior notice to the deponent and other parties, any party may designate another meth- od for recording the testimony in addition to that speci- fied in the original notice. That party bears the expense of the additional record or transcript unless the court orders otherwise."

He objected on the record then I objected to his objection. The Judge will figure this out for us. No matter what Amanda Lollar will have to pay for the videographer and court reporter today not to mention her attorney's time. Her attorney has so far acted ethically and professionally. He really had no reason to fear being videotaped. I promised not to post it on the Internet. I doubt he would nod off on me like Randy Turner did.

I noticed that Amanda Lollar's Yahoo group worldbatline barely has any posts. It has fewer posts than ever before. I'm sure this is because she lost some members because of this lawsuit. She also kicked a few members out mistakenly thinking they were "spies." I'm sure some of the activity has moved to her facebook page though I don't really see any rehab advice there. She made the group private May 2011. This was after she realized that I was copying some of the archives in which she admits to performing surgery on bats, giving rabies vaccinations...

March 1, 2012: Tension between Amanda Lollar and her attorney Randy Turner. Amanda Lollar suckered Randy Turner into this case through trickery and lies. She was able to get him to file a frivolous lawsuit against me with no legitimate claims. He didn't bother to ask for any evidence so he is part to blame. When he finally realized his client was a total liar Lollar feared he'd dump her. She had to make up another story. She convinced him that I was out to get Turner. I'm sure she's the one who signed him up for spam. I got the same spam.

Turner continued with the frivolous case because Lollar convinced him I had money. I obviously don't. She convinced him I live in a mansion in Beverly Hills when I was living in a worthless 700' shack that should be torn down which was not in Beverly Hills. There were photos online of my old shack. She lied to him. He later realized that I have no funds or assets. He decided to use unethical tactics to try to paper me into default just so he could get the win. It has not worked.

In the meantime Randy Turner has been harmed by this lawsuit. This lawsuit caused his old enemies to wake up and start talking about him. He had to pay Reputation Defender probably $5,000 to try to bury the articles. It also caused a rift between him and his ex-law partner who seems to have booted him out the door because of this case. Turner was forced to go work for a shady law firm with a bad reputation, Bailey & Galyen. Check out their real reviews.

I received discovery requests from Lollar in my Federal lawsuit against her. She requested all of the emails, faxes, communications of any type between me and Randy Turner. Obviously she does not have a copy of these and she doesn't want to ask Randy Turner for them. She doesn't want him to realize that she doesn't trust him so she went behind his back to get them. Because she can get them from Turner I refused. I also told Turner that she requested his communications, i.e. Item 86 "All DOCUMENTS evidencing, memorializing or in any way relating to any and all COMMUNICATIONS between YOU and any attorney representing LOLLAR at any time between January 1, 2006 and the present."

Mind you Amanda Lollar is not paying Randy Turner anything. He's probably spent at least $5,000 of his own cash not to mention probably $20,000 worth of his time. She's helped destroy his reputation and he didn't even get any money out of it. She's made him look like a complete and utter fool for being used by a woman who hasn't gone past the tenth grade and who abuses bats. This is really when Turner needs to say goodbye to his client before he loses on the merits. He has good cause because she repeatedly lied to him, committed perjury and she harms animals. His resume says he represents animal rescue groups to fight against people who commit animal cruelty. ***

Amanda Lollar also asked for all communications between me and her LA attorney Stephen MacPhail. I responded with "Defendant can receive those emails from their attorneys Stephen MacPhail and Randy Turner." She doesn't trust her LA attorney either. FTR her LA attorney has always been professional. I did notice that since he sent me this discovery request he stopped communicating with me. He has his secretary just email, fax me files with nothing written in the emails or faxes.

This is how you fund raise the Bat World way. You find someone who may have harmed a bat or maybe not. Then you tell them you will attack them and cause financial damage if they don't "donate" to your cause. How to "fund raise" the Bat World way.Even one of the commenters commented on their true agenda, too obvious. FWIW in one report they stated that no more bats died than normal. I personally feel perhaps someone from the government or bat conservation group should have been on set to check on the safety of the bats. They should blame the government agency for approving the shoot and not monitoring.

February 29, 2012: I haven't Googled Amanda Lollar in over a year. I finally did today. If you Google her you see on the bottom most common searches. Here they are "amanda lollar bats" "amanda lollar animal cruelty" "amanda lollar bat world" "amanda lollar commits animal cruelty at bat world sanctuary." I went to Google in invisible mode so there were no cookies, history checking, auto-corrects. This is a virgin search which a new person would see first time they searched her name. I did not do this. Amanda Lollar did this to herself! She needs to add herself as a defendant to this lawsuit. She really has NO idea what she is doing! Her actions on the Internet have harmed her and her attorney Randy Turner.

Went to my p.o. box today and received the Winter 2011 BATS magazine. Bat Conservation International is celebrating 30 years of Bat Conservation. They have a great article in there about Sue Barnard. She is noted as the first bat rehabilitator in the US. She wrote her first book on caring for bats in the 1980's. They also talk about her new books on bats. I mention this because Amanda Lollar says she wrote the first manual in 1994. That is obviously not true. Plus, her first manual gives credit to Sue Barnard's manual.

I had a feeling the law firm of Bailey & Galyen would be unethical. They have shown their true colors a few days ago. They wrote an article in their "newsletter" claiming that "Bailey & Galyen Attorney Wins Rights for Dog Owners." Randy Turner was with his previous law firm when he won that case. Since then it's been appealed so we don't yet know the outcome. Don't let facts of the case stand in the way of a good "story." They don't even mention he was with another firm or that it's been appealed. Bailey & Galyen is very similar to Amanda Lollar and Bat World Sanctuary. They both think if they write enough positive "stories" about themselves people will actually believe them.

Amanda Lollar's Bat World "magazine" that she sends out is a prime example of this. One, she copied it exactly from BCI's magazine. Obviously BCI was started in the '70's decades before Bat World. Two, Amanda writes fake stories in her magazine. One fake story had to do with her having a "successful TNR colony." I was there. She has a few unneutered skinny sickly cats out back that have fleas, worms and dental issues. That is failure, not success. Another fake story had to do with the Moorpark bats. I was out there helping the City. She was attacking the city, homeowners, health department and me. In her "story" she takes credit for solving the problem! The problem was solved in spite of Amanda Lollar. Fairy tales. Amanda writes these fairy tales to get donations. Artificial caves, bat castles, assurance colonies, we have white nose syndrome...give me money! Amanda Lollar is living off of Bat World. Her only income is rent that Bat World pays her.

February 27, 2012: Update on the "bat castle." From their site, "WHY BUILD A BAT CASTLE? Thousands of bats, like these pictured below, will soon lose their homes due to planned renovation and development of the older buildings they are currently using as roosting sites. The Bat Castle will provide a protected refuge for these bats as well as thousands more, for generations to come. Bat World has secured $25,000 for this project, but just learned that more funding will be needed. The Bat Castle will sit on a bluff overlooking a pond. The spot on this land has been generously donated, and is considered a private wildlife refuge. The Bat Castle needs to be completed by the end of March, before the bats have fully migrated back to the United States. Please help us build this one-of-a-kind forever home for these bats, a home they will never be chased out of again. Any donation, no matter how small, will be extremely helpful in completing this critical project."

It seems she is building this "castle" to supposedly house the bats that live in the Baker Hotel. She says development is coming. No, it's not. It's all talk. Nothing has happened. In this economy there is noooooo way they would renovate the Baker Hotel. It would cost a ton of money and there is no potential revenue. Who wants to go to run down Mineral Wells, Texas? Yet another story. Here is the last article about the possible renovation from 2010.Why would the poor little city of Mineral Wells invest $54,000,000 into this? I just searched council minutes. In 2010 they agreed to pay a group to look for funding for hard to fund projects in crappy areas. They have been unsuccessful. City is considered extending the contract even though it was supposed to have only been for six months back in 2010. They are now considering building a prison in the City. They can't even find funds for this. Talk about desperate. The funding consultants are using the "renovation" of the Baker Hotel to make money. Amanda Lollar is using the "renovation and possible bat eviction" to make money. It's all about making money.

On top of this the bats will not just decide to fly to her castle instead of the hotel this year. It would take them years to find the castle if they ever found it. This is yet another ruse. I remember Singita cat sanctuary. Every year they said they needed funds to build a sanctuary. They had land donated and got a back hoe. They would just move dirt from one side to the other for years to fund raise. Then they went bankrupt. No sanctuary was ever built. How do these people live with themselves?

I'm starting to feel sorry for attorney Randy Turner. Someone sent me some info which shows that even though his wife has a full time job, she just got an extra part time job as a facilitator. I will not mention her name or where she works. She has nothing to do with her husband being unethical and unprofessional. Someone sent me a site in which his wife recently stated "I will be working forever to get my son through college." I would think they would have saved for this years ago. They both have good jobs that should pay well. They only have one son. Their son is in college now even though he also has a job as a bus boy at a restaurant.

These red flags caused me to check assets. Looks like Turner sold his plane to his ex-law partner years ago. He also got an extra $250,000 equity loan on his home in 2005 right before the peak and crash. He brags online about taking exotic vacations all over the world. I kind of thought Turner had money problems but a few lawyers told me he made good money during the years of plenty before Texas tort reform. He must have lost and/or spent it. Based on his shoot from the hip personality and willingness to believe anything any fool tells him, he would make a lousy investor. I have a feeling Amanda Lollar suckered him into suing me saying it'll be an easy win and I'm loaded. I had to laugh after typing that. I can't believe Turner did no research before filing this case. He's wasted a ton of money in this case with no hopes of ever getting a dime. That was a lousy investment of his time and money. Amanda knew I was broke. I told her I did the internship because I couldn't afford the $500 for "bat boot camp." She knew she had no case, just like with the Talking Talons lawsuit. She knew I had no money and couldn't afford an attorney. I guess she thought I'd just roll over.

I also wondered why Turner would not have just opened his own office after leaving McKenzie. Efficiency suites are cheap and you can move in instantly. I guess he couldn't afford it. I also saw that his wife looked into getting her own law firm website in 2005. The web designer left the sample online here. Why not work with her husband's firm? I of course don't blame her. I really think Turner is near full melt down mode. I think he's turning, just turned 60 this year. He had to move to a less reputable firm as the lowest attorney on the list. He made some huge embarrassing mistakes in the last two years. Ran for Judge twice and lost both times. He makes up huge lies about me in court to the Judge and in his filings. He misquotes the law and basic facts of the case in court. He seems to have money issues. I bet his other stock, bond ... investments are also in the crapper and he's responsible for it. He looks like a risky investor even though he should be conservative based on his age.

Attorney Randy Turner finally updated his website. His partner got the old website and all contact information. Turner no longer lists the firms where he used to work. He did add this to his main page, "In 2012 he merged his law practice with Bailey & Galyen where he handles serious personal injury and death cases." Only he moved to Galyen. His assistant is still on maternity leave. If he really "merged" his firm, it would be called "Bailey, Galyen and Turner." When another lawyer merged his firm with them they called the firm "Bailey, Galyen and Gold." Turner hasn't actually done much PI work the last few years. At least Randy Turner fixed the typos on the page.

I should be a psychic. I have a gift, really. As predicted this morning Amanda Lollar of Bat World released a video. In the short video she shows a piece of dirt in the middle of nowhere which is the new site for the "bat castle." You just hear what sounds like sasquatch stomping through dried leaves. I will say renting the smallest back hoe from UHaul was a nice touch even though it's just sitting there. As predicted the land was anonymously donated, anonymously located, anonymously described. The "castle" will be 16' tall 50' long and 20' wide. She already made a mistake in the design and she doesn't even realize it. It must be built by the end of March in order to comply with the contest. Yep, plans, permits, construction all done in less than a month. That's possible, with non-existent construction that is. Perhaps she will even make it invisible. The emperor's new castle. And of course, drum roll, she needs more money as she's already gone over budget on her invisible bat castle which may never be built. She also wants security bars to keep vandals out. Perhaps I should give up my day job and pick winning lotto numbers. I really can see into the future.

February 26, 2012: Amanda Lollar is now trying to bury the honest negative articles about herself by buying new domains. Only problem is she doesn't know what she's doing. She's also posting more articles about herself entitled "Amanda Lollar does N-O-T commit animal cruelty." I won't go into the even bigger mistakes that she is making. Again, she's doing more harm than good and she doesn't even realize it. Seems someone is also posting the info from the Federal lawsuit against Amanda Lollar on her new articles which are permanent. She will end up causing twice as much honest negative information to be posted. I see her 1994 manual is now posted in many different places where it can never be removed. She recommends freezing bats to death in that manual which is illegal and inhumane. She's doing the same thing to her attorney Randy Turner of Bailey & Galyen. They are libeling and defaming themselves in websites where it can never be removed! It's pretty funny yet rather sad at the same time. Blind leading the blind. I offered to teach Turner about the Internet but he refused. He prefers to listen to his client who hasn't gone past the tenth grade and doesn't even understand basic html code.

Amanda Lollar tried to get the shareable copy of her 1994 manual removed from this website along with two scanned pages of the 1998 and 2010 manuals. I quoted copyright law to my host. The manual says it can be shared in whole or in part on page two. Under the fair use of copyright, I can share small portions of a work for education or comment which I did. My host's legal team agrees with me and have allowed the items to stay. I would never post anything that is truly copyrighted by Amanda Lollar or Bat World Sanctuary. I know the law. I am in the right and most definitely would not break the law. Lollar on the other hand has destroyed evidence, perjured herself on the stand and in her deposition, has altered evidence, refused to turn over evidence... I could go on and on. Randy Turner and Amanda Lollar really feel they are above the law. They either destroyed or just plain refused to turn over the second half of the depo video. Now the Judge will never know what really happened. My own lawyer didn't want Turner to give me that video.

February 24, 2012: Went through Bat World Sanctuary's USDA inspection reports. Something is very strange with the animal numbers and names. Amanda Lollar has many different species of bats but she seems to list them all as "brazilian brown bat." She has Egyptian fruit bats, other types of fruit bats besides insectivorous bat such as mexican free tail, big brown bat, little brown bat, mastiff bat, evening bat, pallid bat, pipistrelle and others. This is what she reports annually to the USDA. I have a USDA permit. I must report every single animal listing each species and sub-species along with sex, age, condition. Amanda Lollar tells everyone she has a sanctuary with over 300 permanent resident bats. The USDA inspector of course never looked at her bats. They are there in the day time when bats are nocturnal.

2011 250 brazilian brown bat

2010 300 brazilian brown bat

2009 219 wild exotic other animal

2008 24 wild exotic other animal

Was tracking down some discovery items and found this about the Talking Talons lawsuit. From their annual report, "Bat World, a Texas bat sanctuary, filed suit against Talking Talons and publicly claimed mistreat- ment of our bats. While independent review and reporting by State and Federal permitting agen- cies gave us a clean bill of health, the demands of defending against the suit proved significant." This is exactly what Amanda Lollar is doing to me. She is claiming that I committed animal cruelty against bats. That's what she said in her deposition. I would try to ask her a question and she would say such crazy things as "you dragged that bat out of her roost." I of course did not. I asked her if she had video or any witnesses and she said no. Then how does she know? I would never drag an old animal out of a roost. The old bat came out begging for food. It was extremely emaciated and shaking. Now that is animal abuse and neglect. I have photos and video but I can't post them.

Amanda Lollar claims she is breaking ground on the "bat castle." Does she have approved plans, permits, enviro review, USDA, TPWD, neighbor approval? I highly doubt it. One can't just put up a building to house bats which can carry rabies without permission. Another issue will be getting the bats to live in the "bat castle." My prediction will be that they will post photos of dirt being shoveled around on someone else's vacant land in the middle of nowhere. They will declare that the location of the castle is top secret. They don't want the "bats' lives to be in jeopardy from outside sources" . They will never let anyone visit the castle because it's location is "top secret," aka it does not exist. It will be interesting to see how she plays this. Maybe she'll just buy a used steel building and call that the "bat castle."

"Bat World Sanctuary: Finally, the rain has stopped and the ground is drying, so we plan to officially break ground for the Bat Castle early next week! The tool that will be used to "symbolically" break ground is a small hand ax that was found in the crawlspace of the wild sanctuary. The ax dates back to the late 1800s, and was likely one of the tools used to create the wild sanctuary building in 1899. It will now be used to create a new wild sanctuary, one where the bats will be able to live in peace and comfort for decades to come."

February 21, 2012: Yesterday Amanda Lollar of Bat World Sanctuary was complaining about Texas A & M, Bat Conservation International and Texas Parks & Wildlife. She posted that they are for research on bats, "As far as I know they are still conducting the research, and in my opinion it is both cruel and unnecessary. We tried very hard to have the research halted but other entities, who appeared to approve of the research, stopped our progress. This is a quote from the A&Ms page regarding the research project: "Bats are collected and transitioned to captivity after consultation with the Texas Parks and Wildlife Department and Bat Conservation International." Here's our "Wall of Shame" page on the story:" Then she linked to her "wall of shame" where she attacks people who don't acknowledge her as the one true Queen of bats.

This is extremely hypocritical. Texas A & M did not kill the bats in their studies. In fact they gave Amanda Lollar some of the bats just to shut her up. At least one of those bats died at Bat World under the care of Amanda Lollar. I posted a photo and video of this extremely malnourished, shaking bat. The bat came out of her roost to beg for food from me. Amanda Lollar on the other hand was involved in bat research. In that research they took healthy bats and killed them. What true bat lover would allow that? There was no reason to kill the bats. ResearchShe should put herself up on her wall of shame.

February 19, 2012: Is Amanda Lollar of Bat World Sanctuary giving tours again? This was posted on Bat World Sanctuary's Facebook wall then it disappeared, "Hi bat world....we have a bat carer from New South Wales in your area...was wondering if there was any way they could come and visit...get a special tour around the facilities and see what you do...to gain a greater understanding and perhaps set up something similar here...the question has been on our forum for a few days to i thought i would bite the bullet and go to the source....would you be willing to share some knowledge with us from down under? cheers xx." I saved a copy as pdf. The Australian bat rehabbers rehab flying foxes and fruit bats. I doubt Amanda Lollar would want them to see her fruit bats. One is so fat it just flaps on the floor and cannot fly. It's illegal to allow your animals to become obese. I don't think it's legal for her to be giving tours. She gave a tour to the distance runner a year or so ago. Photos were posted of him playing with fruit bats. The public is not allowed to play with the animals.

February 17, 2012: Attorney Randy Turner of Bailey & Galyen responded to the appeal of his Avery the dog case here. He has two other lawyers helping him named Sondrea King and Susan Bleil of Bleil and King. There are a lot of typos and spelling errors. Instead of writing "prayer" he wrote "payer." Very sloppy work. Respondents seem to be arguing that pets are legally property. Property may have intrinsic or sentimental value in a court of law. Petitioner seems to be arguing that allowing pets to have intrinsic or sentimental value will create a new and independent cause of action for loss of companionship for the wrongful death of a pet. Petitioner seems to be equating pets to people. This seems to be apples and oranges to me. Pets are property. People are not property. People are people. People are not pets. Property may already legally have intrinsic or sentimental value under current law. People do not have intrinsic or sentimental value because they are not property. Loss of consortium, companionship is not the same as having intrinsic or sentimental value. I personally feel the petitioner's argument is not related to the issue. This is similar to what the CVMA did to us in California when they tried to over rule the declaw bans. Fortunately they lost.

Amanda Lollar of Bat World Sanctuary is now hand raising yet another baby fruit bat. It was supposedly dropped by its mother. She raised another one last month. She is supposed to be neutering and spaying the bats, not allowing them to breed. This is a non-native bat. I personally believe that she allows her bats to breed so she can post photos and videos to beg for donations. Allowing them to breed while other bats need homes is very irresponsible. I've gotten in pregnant animals and I spay them. Does she even have a non-native permit? Last year someone posted in Amanda Lollar's WorldBatLine Yahoo group that their fruit bat dropped a pup. He asked her what formula he should feed the baby. Amanda Lollar responded by first kicking him out of the group. Then she posted that if a mom bat drops a pup the care giver obviously doesn't know what they're doing. She refused to tell him what formula to use. So, does this mean that Amanda Lollar does not know what she's doing since her bat dropped a pup? She's had that bat for a few months at least. I don't recall any of her fruit bats actually keeping their pups. Perhaps they are overcrowded. Plus, she has a few different types of fruit bats in there. In nature you wouldn't have quite a few different types of fruit bats from different countries roosting together in a building.

February 14, 2012: Guess what Amanda Lollar and/or Rebecca Dmytryk was doing last night? Signing me up for spam. Previously they signed me up for "get a bigger penis!" spam. Now they are signing me up for meat and fish spam because they know I'm vegan. Talk about childish. I have never signed any of them up for spam. Why would 50 plus year old women do such childish things? Based on the silly names they used to sign me up and the passwords they chose I think this may be the work of Dmytryk. I've caught her using silly fake user names before.

February 13, 2012: Busy writing legal docs today. I went to batworld.org to see if there was any new libel about me. Look at this dramatic and pathetic post by Amanda Lollar. The bats' lives were never in jeopardy. "The false claims made by this individual placed every bat in our care in jeopardy, including over 200 rescued orphans, bats who have lived peacefully with us for almost 20 years, and over 50,000 bats at our wild sanctuary. Had it not been for our well-established reputation with government officials, every bat in our care could have been destroyed by inhumane decapitation due to her outlandish claims." No one ever mentioned destroying any bats. The City just wants her to exclude them.

February 11, 2012: Meant to post this a while back but I've been busy. I received these photos in discovery few weeks back. October 18, 2010 Amanda Lollar emailed the health dept of Mineral Wells going for the sympathy play. She says white nose syndrome has arrived earlier than expected in Texas. White nose syndrome is not in Texas and she knows it. "About half of the bats in our building have something white on their ears and various body parts (pictures attached)." Keep in mind this was October. It is still very warm in Texas. WNS cannot survive in these temperatures. Also, it only affects hibernating bats, not migratory bats such as the ones in the wild sanctuary. It affects them when they are in cold caves while in torpor when their bodies are around 50 deg F. I've held Mexican free-tail bats. They are very warm, probably closer to 100 deg F. When I was at Bat World tests came back from hole punch samples. They were negative for WNS. She knows her bats can't get it but she wants it so she can raise money to "fight" it, i.e. raise money for herself.Here are the photos Amanda Lollar sent to the health dept.

This is what white nose syndrome actually looks like. See the white on their noses? It doesn't look like stringy web-like material. Lollar lied to the health department. She is obviously no bat expert. She didn't go past the tenth grade and admitted to having no formal animal training. She said she trained herself.

February 10, 2012: It's official. Randy Turner is the nastiest attorney I have ever met, and I've met quite a few as an expert witness in real estate. My ex was a PI attorney same age as Turner and he'd tell me about the crazy attorneys he'd come across in his career. None have been as crazy as Randy Turner. I haven't even been back half a day and again Randy Turner of Bailey & Galyen is papering me even though the Judge told him to knock it off. He just sent me a motion for contempt and to strike my pleadings. He doesn't want the Judge to read my motion for summary judgment which I sent in a week or so ago. He knows I'll win the case with that motion. He has no case. Not only that but Turner faxed me an objection to my last discovery request while I was in the cab going to the airport. I hadn't even arrived at the airport yet when he was forcing me to file a motion to compel. I will also be filing a motion for contempt. This was less than an hour after our hearing let out.

Just so everyone knows this I made the following offer to Plaintiffs and their attorney Randy Turner of Bailey & Galyen. I told them if they can show that anything I posted as fact is not the truth, I will correct or remove it. When I used to write reports about stock crims I always made the same offer. No one has ever responded because I always post 100% the truth.

In court yesterday Randy Turner of Bailey & Galyen stated that Amanda Lollar of Bat World Sanctuary used to have a good reputation but now she has a bad reputation because of what I posted. Amanda Lollar has never had a good reputation. The true experts give her half of an eye roll when her name is mentioned. She's plagiarized and attacked them for years. What does she expect? She even attacks Bat Conservation International besides Fish & Wildlife, Texas A & M and everyone else. I only posted the truth about her. What she herself has done has damaged her own reputation. I didn't write all those complaints about her dating back to the mid-nineties. I went to Bat World in 2010. When Amanda Lollar released her 1994 manual all the experts criticized her for recommending freezing bats to death. It's illegal and inhumane. They criticized other methods in her manual. In turn she attacked them. A normal person would have said "thanks for correcting me. I will edit my manual now." They would not attack people.

February 9, 2012: Just got back from Texas. We heard about three motions today. Mr. Turner sent me a motion for criminal contempt with a FIAT dated for today. I thought it would be heard today. Judge did not approve it. It was not on calendar. It was not heard. Turner just wanted to frighten me which he did. There was no chance I could go to jail today. In the meantime I was stressed to hell and ill. I had to make arrangements for my animals.

Three items were heard. Their motion to protect discovery documents, mine to compel. They must turn over documents. I asked for documents. Turner replied with a motion. I emailed him saying "we can work this out via email." I agreed to redacted statements. He still went ahead with his frivolous motion. It could have been handled with an email like 99% of all of his other frivolous motions.

Randy Turner's motion to continue hearing was heard. Judge said she did not want him to use this to continue to paper me. I said the same to her. Judge Bonnie Sudderth understands what Turner is doing to me. She seems to be fair. I asked about the scheduling order. She filled it in properly. She said she will give him two hearings to hear motions but that's it. Before I even got to the airport Turner was already papering me again. He sent me a fax from his assistant who was in the hospital giving birth. Can't even send me something in his own name, weak. Trial continued to June 2012.

I will be posting the full minutes of the last hearing. Attorney Randy Turner doesn't even know what this case is about. Randy Turner of Bailey & Galyen said "Bat World Sanctuary isn't looking for damages" then his client Amanda Lollar of Bat World Sanctuary said "yes, we are." He actually said "we gave defendant the confidential home address, phone number, email address of the board of directors and she posted it online!!" No, they didn't. I asked for the BOD names, addresses, phone numbers, email addresses. Judge told them to give it to me. They didn't. They gave me names but gave me addy, phone, email of Amanda Lollar. I did a state info act request to Attorney General and Dept of Corporations. The state gave it to me. It is public info. I posted it online. Here is a link to it online. Click officers/directors. If you scroll down, you can see that I copy pasted the state info, not the info Randy Turner gave me. Randy Turner has no idea what is happening. He also doesn't have a problem lying to the Judge.

This is what Randy Turner of Bailey & Galyen sent to me. And this is what is listed on the Texas controller website for Bat World. The Judge told Turner to give me the home addresses, email addresses and phone numbers of the Board of Directors. He didn't. I was able to obtain the addresses from public records. I still need to get their email addresses. This is the type of shit he pulls all the time. He really is a nasty little man with issues.

Earlier I wondered why Bailey & Galyen would want Randy Turner on their team. I found out in the courthouse and on the way to the airport. A few attorneys approached me to say "howdy!" We talked about my case then about Bailey & Galyen. The ONLY reason why this law firm would want Randy Turner is because they are having major problems of their own. They have lost more lawyers, locations than they have gained. Only five lawyers seem permanent. There is a fast turnover of other lawyers. As I was taxi'd to the airport I saw the closed locations! They had a banner draped over the sign on the building that said "we've moved to 1901 ..." And I wasn't really paying attention as I was texting. I just happened to catch the address out of the corner of my eye.

More on Bailey & Galyen. Check out these reviews. Two are real and are very negative. The rest are fake positive reviews. Look at the reviewers profiles. They post positive reviews to legal firms. The text is identical yet the user names are different. Sooooo obvious. Fake marketing just like their website. There are also lawsuits against the firm for malpractice. In one lawsuit out of Florida it seems Bailey & Galyen forgot to file a lawsuit for someone yet they told them they filed it. In another lawsuit it looks like the law firm tried to stiff medical care givers. Randy Turner should fit in nicely at this firm. If you look at his new profile in their website, he states he "merged" his firm with theirs. Only Randy Turner and his legal aide Kelly Bozeman went to Bailey & Galyen. Everyone else is still at the old office with Tom. I would think a good lawyer would work for himself or maybe at a small firm. It seems larger firms like this attract lawyers with issues, like Mr. Turner. In his bio in their website it says he was a navy brat that moved around a lot as a kid. Then he went to a military school which was all male at the time. That would explain his social issues and issues with women.

I wasted five minutes googling the law firm of Bailey & Galyen. Now I understand why they have so many websites and facebook pages. They are trying to bury some bad reviews just like Randy Turner did when he hired Reputation Defender. Here is one real negative review and one fake positive review on Yahoo. Here is one real negative review and one fake positive one on Yelp. On BBB website they have one complaint. They are not a member of BBB. Here is a fake positive review on Yelp. You can tell they are fake reviews because the users only make positive reviews of law firms. The reviews are almost identical.. Here they are in the rip off report. This is from five minutes of Googling. That means there are probably a ton of bad reviews of Bailey & Galyen out there. You can also search Bailey, Galyen & Gold. Now I almost feel sorry for Randy Turner for joining this firm. He thought his reputation was bad before. Now it will be even worse. He really is on a downward spiral. At least he still manages to dye his hair the day before his hearings with me.

February 6, 2012: Update about the split between attorney Randy Turner and his ex-partner Tom. Their old website turner mckenzie.com now forwards to tom mckenzielawoffice.com . randyturner.com no longer forwards to turnermckenzie.com It is now just a website for Randy Turner. It's the same website from when he was with Fuller & Turner in 2008. On the top of the page he says he's a "personal injury law in Forth Worth Texas." He misspelled "Fort Worth." Just went to wayback machine. That typo has been there for years. In 2008 it read "Animal Law and Personal Injury Law in Forth Worth Texas." How does he misspell "Fort Worth" for four years? Looks like Tom got the phone numbers. Now Turner has to change all those pages he made at Reputation Defender to get rid of his old email address and website. What the hell happened between Turner and McKenzie? Based on what I know about Turner, I bet the split was Turner's fault. Sounds like they had a big quick fight which is probably why Turner left the office and suddenly went to Bailey & Galyen. That office space belonged to Tom. Turner moved there when he split from Fuller. I bet it had to do with the Avery dog case and Turner's behavior in this case besides all of the other crap Turner has done. Tom represents a battered women's shelter. He can't have someone like Randy Turner in his office. I just removed Tom's name and any links to the old website from this page. I'll remove it anywhere else I control. I feel sorry that Tom had to deal with Turner. Earlier I assumed they were birds of a feather. Originally I thought Tom was the one suing me as his name was on the cover sheet. I'm now positive that Turner is in full melt down mode. Something major is wrong with him. I don't look forward to our hearing this Thursday. I wish I could afford to hire a bodyguard. I will have my iPhone video on in the hallways.

One last note. Turner's bio is not up on the Bailey & Galyen website. They did not mention it in the notice of his talk in March. Will he be staying there or not? They may be pissed that his client has destroyed all of their online marketing. If you search for Bailey & Galyen Texas attorney you just get videos of me being deposed which Lollar posted. Other websites have embedded those videos. They have ads on them for other law firms. Lollar is actually causing Turner's new boss to lose business.

February 6, 2012: In 1999 Texas animal rights attorney Donald Feare helped Amanda Lollar get out of trouble. A rabid baby bat bit a toddler on the cheek directly adjacent to Amanda Lollar's wild bat building. The news paper article 1, article 2 , letter, notes are all linked here or below. The mother of the toddler filed a complaint about Bat World Sanctuary. Why was the City allowing a vacant building in the center of town to be inhabited with bats some of which were rabid? It was and still is a threat to public safety. Texas attorney Donald Feare sent a threatening letter to the City of Mineral Wells (linked above). He stated if they don't find the complaint "groundless," he'll probably sue the city. The city backed down.

Now Donald Feare will be giving a talk on "Representing Rescue Groups and Wildlife Sanctuaries." Here is a link to his March 9, 2012 seminar. It is being sponsored by the Animal Law Section of the State Bar of Texas which is part of the Animal Law Institute. It will be held at the Texas Wesleyan School of Law. I believe this is where Randy Turner's wife works. They should really rename this "how to help 'rescue groups' and 'wildlife sanctuaries' break the law by threatening to sue people and cities." Every else in Mineral Wells had to exclude bats from their building under order of the Health Dept and Texas Parks & Wildlife. Amanda Lollar refused even though 72% of the dead and dying bats she found during a few month period were rabid. Rabies is fatal.

At this same seminar Randy Turner of Bailey & Galyen will be giving a talk on "Lunch & Case Law Update with Randy Turner." *** He'll probably be talking about the Avery the dog case. It just amazes me that these people are speaking on these topics. Randy Turner is suing a rescue group, wildlife sanctuary, namely me. Because of this case I've had to turn away animals who ended up dead or euthanized. He is hurting a rescue group, wildlife sanctuary and animals yet he is going to speak for animals? These two lawyers have ended up on the wrong side of animal issues. They do these cases for their ego and media attention.

Amanda Lollar of Bat World Sanctuary continues to libel me. She just posted this on YouTube, "This individual was charged with Criminal Contempt of Court on Jan 9, 2012." This is untrue. I was in civil contempt of court for not turning over my home address. My home address is confidential just like her settlement agreement with Talking Talons. I don't have to turn it over. The Judge did not find me in "criminal contempt of court." Lollar is upset because I got half of her videos removed from YouTube. She put them back up edited. They will be removed again. At least I had a nice weekend out of town.

Guess what Amanda Lollar does for fun on a Friday night? She signs people up for spam in their name with a fake address and phone. I wasn't near a computer from Friday noon until late last night. I was out of town having a great time. Talk about childish. She could have been hanging out with friends, having a nice time with her husband or helping animals but no. She'd rather do petty crap like this.

February 3, 2012: I just found out which file Randy Turner begged Google to remove. He told them to remove this video from video search results. Mary Cummins files motion for summary judgment against Amanda Lollar, Bat World Sanctuary - Randy Turner, attorney. You don't see my video in video search results at all. Talk about limiting someone's freedom of speech. I'm just talking about the lawsuit while flipping through my 250+ page document. If that video bothers Randy Turner, his skin is way too thin. His client calls me all these nasty names, falsely tells people I'm a criminal and he gets upset at a video of me flipping through a legal filing.

Update on Randy Turner's Avery the dog case. New Article here. Randy Turner is very hypocritical. Here he is arguing that pets are property and should be treated as such. They should have sentimental value. Then why did he refuse to return Precious the dog to the rightful owner Linda Charles? In that case he said pets should not be treated as property. In Louisiana animals are considered legal property. If you lose your property, you have three years to claim it. Linda Charles claimed her lost property, her dog within a few months. The people in Texas refused to give her back her dog. This just proves that Turner does not care about animals. He only cares about winning and getting credit and press for the win. He also eats meat, wears leather. No self-respecting AR attorney in LA would dare not be totally Vegan. There's more case activity but no new files are yet available. It looks like Bailey & Galyen are continuing with Turner's case pro bono. If AVMA gets involved, they will easily sic $1.5M in lawyers and lobbyists on this case. They did that to us in the declaw case in California.

February 2, 2012: The Los Angeles attorney representing Lollar and Bat World is doing a much better job than Randy Turner. When Stephen MacPhail puts his mind to it he can write some nice docs. I'm sure most is copy/paste from previous docs but still. Turner's are always full of typos, spelling errors and grammatical errors, even the ones he's copy/pasted for years. I know because I copied some of them and fixed the errors. Randy Turner probably realized that my discovery requests are a copy of his, even the ones Neal Callaway signed. I wrote them.

List of Board of Directors of Bat World Sanctuary from the State of Texas. Randy Turner, Amanda Lollar did not give me this list. It came from the State of Texas.

PRESIDENT AMANDA LOLLAR 217 N. OAK MINERAL WELLS , TX 76067

TREASURER DENISE TOMILISON 19112 TOLEDO BLADE PORT CHARLOTTE , FL 33948

VICE PRESI DOROTHY HYATT 1324 ROBIN COURT ROANOKE , TX 76262

SECRETARY MICHELLE MCEQUALLEY 217 N. OAK MINERAL WELLS , TX 76067

I was trying to find out which page is now blocked by google search. I put in a string of searches. I found a lot more libel about me by Amanda Lollar. There are emails, posts, letters that she sent out to so many people. She signed her name on all of these. Here is but one.I did not defame her. The injunction was void. I did not write the articles. Nothing posted in the articles is copyrighted. Bat World does not have a good reputation. That was May 13, 2011. May 19, 2011 ACLU-NC told Randy Turner they will not remove the items. I need this info to respond to Defendant's discovery requests so I'll be printing it all to pdfs. I will be subpoena'ing more from Google, Indymedia, Yahoo, YouTube, USDA, CADFG, City of Mineral Wells, Mineral Wells police... Look who's calling the kettle black.

Randy Turner or his boss at Bailey & Galyen must have sent a threatening letter to Google search. They demanded that a result for search "randy turner attorney texas bailey galyen" be removed. None of my items were removed. I don't know what was removed. Here is the notice, "In response to a legal request submitted to Google, we have removed 1 result(s) from this page. If you wish, you may read more about the request at ChillingEffects.org." The notice of course is not online. I'm sure Turner is just abusing the legal process yet again like he did last time.

Lollar et al are still posting libel and defamation about me on YouTube. You'd think after being sued for libel they'd stop. Here is one example, "You just cannot get enough of Lollar sanitizing her personal belongings! Cummins has already used her license to post online. What a slimey bitch." by YouTube user batfriendify. I have never posted Amanda Lollar's driver's license or information online and I have no intention of doing so. These people just let these lies fly freely. The video shows me taking a pic of Lollar's driver's license in her depo. I then hand it back to her, she grabs it with her bare hand then she gets all dramatic rubbing anti-bacterial lotion all over her hands and driver's license as if she were Lady MacBeth. So incredibly childish. I'm not the one who performs surgery on animals without gloves. I'm not the one who holds possibly rabid bats in my bare hands. I'm the one whom they criticize for having perfectly clean and manicured nails as if I never work. I wash my hands. That's it. Lollar told me she has to photoshop the dirt out from under her nails in photos she posts online.

gross pic defendants made of me *** Lollar's attorney Randy Turner of Bailey & Galyen has been notified of this behavior but he has done nothing to try to control his client. He doesn't care if she libels me because he's not the attorney in the CA case. He doesn't really care about his client. She's uneducated and obviously has major issues. He's allowing her to get deeper into trouble. The Judge in the LA case is a female whom I've been told is a very fair judge. She will not take kindly to these actions. I've done nothing like this towards Lollar et al. I've seen the people making these nasty comments. I could make fun of their looks, weight, hair ... but I don't. I have no desire. FTR I posted that pic (without the semen) to a private stock message board after the Ashton people were sentenced to jail for ripping off the public. Ya, probably not the most lady-like photo I've ever posted. It still does not excuse how they photoshopped it.

January 31, 2012: Someone sent me a photo of Mr. Turner. In the photo he is wearing the same exact clothing in his media photos for the last ten years. In his defense I have noticed that this is the casual uniform of conservative Texans. My attorney wore the same thing. Definitely not LA dress code. I doubt it's the same exact blue shirt and khaki pants.Here it is.

January 28, 2012: Was reviewing the Avery the dog case. Randy Turner of Bailey & Galyen made some big legal mistakes in that lawsuit. Here is one. Defendant filed special exceptions. He did not re-plea to state damages. He lost and plaintiffs had to pay court costs. How did he make that error? I'm not an attorney yet I made sure I stated a claim in my lawsuit against Amanda Lollar. There is something very wrong with Mr. Turner. Previously he confused me with his client in my deposition. Then he confused himself with my lawyer in court. He even misquoted the law quite a few times. Maybe it's early dementia? He is 60, a senior citizen. That would explain the extremely inappropriate staring.

Amanda Lollar just posted an article about me on Indybay. She thinks she's helping her attorney Randy Turner of Bailey & Galyen but she's not. She basically just associated this nasty case with her attorney and his new law firm. She has not gone past the tenth grade in school. She has no idea what she is doing. If she keeps this up, Randy will end up being asked to leave Bailey & Galyen. I was able to get that article removed immediately.

January 27, 2012: I just filed my motion for summary judgment. Here is the motion. Here is my affidavit. Both are without exhibits or signature to make it more legible. There are over 62 exhibits, over 250 pages total though the motion itself is only 15 pages. I was trying to fax it to Randy Turner at Bailey & Galyen. It wasn't going through so I called the office. Turner is now one of two personal injury lawyers at the firm. Is he really just a salaried lawyer now? No wonder he has been under such stress. He should be mad at his client Lollar for lying to him and telling him I was loaded when I am not. He should make her pay his fees. She has money.

Video of Randy Turner, Randall Turner, attorney, lawyer in Texas acting inappropriate.

January 26, 2012: Randy Turner is now one of 30 lawyers at Bailey & Galyen. He's on the electronic letterhead at the bottom of the list just above the accountant. How must it feel to go from having his own office where he was the lead attorney to being one of many? Some of the lawyers listed above him look fresh out of law school. He's been practicing for 32 years and now he's listed under recent grads. He was at his first law firm from 1980 to 2008, 28 years. When Turner left that firm is when he started to unravel making mistake after mistake. He was at Turner & McKenzie only three years. He really has fallen a long way. I really think he may be on the brink of a breakdown or midlife crisis. Maybe he's having problems at home.

Bat World received a grant from Chase giving to build a "bat castle" even though they never identified the land, have no plans or permits, have not done an enviro report, cannot possibly build it within nine months which is what Chase states is mandatory. Now they are asking for donations for the bat castle. You can give $5K and have your name on it. They already got the money to build it. I believe they are using this to get money for Bat World aka Amanda Lollar personally. Give us money. This "castle" may never be built. In fact when asked about the land that was "donated" during her depo she said it's "confidential." In Lollar speak that means it doesn't exist.

Speaking of the "Bat Castle," this is what Lollar is telling people she intends to do. Bamberger built a fake bat cave for bats here. Amanda Lollar just took his design, photocopied it and told people she was also building a fake cave so she could raise money. The problem with this situation is that it took years for the bats to discover the fake cave and live in it. Amanda Lollar will have the same problem. They may never use the cave. In fact I'm sure the bats would prefer to be in town where there are many vacant buildings such as the Baker Hotel. There are also night lights to attract bugs. If you look up at night, you can see the bats around the lights eating insects. There are no lights way outside of town. I believe this is just another story to raise money for Amanda Lollar.

He just filed another motion for contempt. He forgets he already filed one albeit civil. I then filed a motion to reconsider the Judge's order as to my home address. It should be granted. Plaintiff stated the settlement agreement with Talking Talons was confidential so they did not have to turn that over in discovery. I signed a confidentiality agreement with my landlord. I also should not have to turn that over in discovery. I will be filing a reply in the morning. We will be busy on February 9.

Amanda Lollar of Bat World Sanctuary admits on video that she hasn't gone past the tenth grade. She dropped out of high school.

January 25, 2012: Randy Turner attorney with the law firm of Bailey & Galyen is having a bad week. His case about the sentimental value of a dog is being appealed. I'm sure the special interest groups are behind it. When we got West Hollywood to become the first City to ban the declaw of cats the vet groups sued the City. When that failed they tried to pass a California bill to defeat it. Fortunately that also failed and many cities have since followed suit. Here is an article about the appeal. I doubt Randy Turner's new law firm will want him to do this pro bono. I hope he can fight this on his own. The opposing argument seems to be that because there is no law giving sentimental value to humans, there should not be one for pets. They also seem to be arguing that it will affect the businesses of groomers, kennels and veterinarians in a negative way. I feel they should be responsible for the proper treatment of animals. Here is plea to the supreme court. It definitely took a lot of money to write this. This was filed January 17. Turner left his firm January 19. Maybe this is the reason why. His partner does not want to have to pay for this expensive pro bono legal work. When the special interest groups came after The Paw Project because we convinced West Hollywood to ban the declaw of cats, they spent 1.5M on lobbyists and lawyers within just the first year. This was paid for by AVMA and CVMA.

Randy Turner's client Amanda Lollar of Bat World Sanctuary has been spamming YouTube. Now if you search for "Bailey & Galyen" you will see videos of me being deposed. Instead of seeing videos which Bailey & Galyen paid to be made to promote their law firm you are seeing videos of me. It doesn't affect me at all. I doubt Turner's new law firm appreciates what Lollar is doing. She doesn't even realize that she's actually harming her attorney and his new firm.

January 20, 2012: Randy Turner was an attorney in Fort Worth, Texas at Bailey & Galyen. He just left there and is now an attorney with Bailey & Galyen in Bedford, Texas. Didn't this firm Google him? Who would want this guy in their firm? I'm now starting to think that Turner wanted to continue the hearing because he was having to change firms. Did Tom McKenzie finally get sick of all the embarrassing things Mr. Turner has done in this case? His paralegal is going with him. Their site makes it seem like he was hired as an employee. Could times be that tough for Turner? I doubt this law firm will want to continue with this case pro bono. We're getting to the expensive part of the lawsuit. I don't know if Turner can pursue this case at this firm. I contacted this firm about representing me. It will be in their records. I wonder if the email I sent January 18, 2012 had anything to do with this. See below.

January 19, 2012: Randy Turner attorney likes to wait for me after hearings so he can wave papers in my face and threaten me in the hallway. After the last hearing I tried to get out of the court room as fast as possible so he wouldn't be waiting for me. In my haste I left two DVDs on the table. I sent the following email to all parties so I won't be forced to run out the door again. For the life of me I don't know why some 60 year old man would want to personally threaten a woman. I have never met anyone as disgusting and low as Mr. Turner.

More proof of perjury. I've been going through all the court transcripts. This is from May 4, 2011. Lollar stated under oath at a court hearing "one of my dogs has hip dysplasia and knee dysplasia and Ms. Cummins has said that the dogs were --she was not able to walk because her claws were too long, and that's why she drug herself around, and not because she actually has had surgeries and has a hard time getting up to walk." In her November 8, 2011 deposition Lollar claimed that this dog could run and jump. Q. Did you used to have a dog that couldn't move its rear legs and it had to drag itself around Bat World Sanctuary? A. I have never had a dog that had to drag itself around. Q. You never had a dog that used its front legs to drag itself around? A. Absolutely not. Unless you're referring to the dog that I rescued from a pound and she ended up with hip and knee dysplasia. She had surgeries for those injuries, or for those problems. They are corrective surgeries. She has a hard time getting up, but she is on Rimadyl, daily pain medication. She plays, she runs and jumps. Q. She runs and jumps? A. Yes, she does. She did it while you were there, but you claimed she drags herself around on the website, but she actually did it lots of times while you were there and you saw it." FTR I did not say that the dog dragged herself around because of her long nails. I knew the nails were not the cause of her not being able to walk. Still, she should have given the dog a cart instead of making her drag herself around. It's sad to watch. I told the other intern that Lollar said that dog ran and jumped and she gave me the side eye. I have that dog's vet records. She cannot run or jump. Lollar's lying seems pathological. She lied about me finding a one winged dead bat under her desk even though Kate admitted to it in writing.

January 18, 2012: I just found out that all discovery, interrogatory, duces tecum requests could have been agreed upon as protected and confidential. Wish my lawyer told me that. I specifically asked him if it could be protected. He said they could do with the items whatever they wanted. Of course this goes both ways. We can both post deposition videos, discovery items, interrogatory and decues tecum answers.

January 16, 2012: Here is Amanda Lollar's original 1994 manual "Rehabilitation and Captive Care of Mexican Free-tail Bats." Lots of bad advice in here. She tells people to freeze bats to death. That is illegal animal cruelty. If you raise an orphaned bat, it can never be released. You should keep it for life and use it for education. Original 1994 manual. The manual clearly states that it "may be duplicated in part or in whole," page 2, Introduction. Notice how very different this book is from the later ones she wrote with Barbara French. This looks like someone with a tenth grade education wrote it. Notice she gives credit to people in this book. She removes their credits in subsequent books. Why does Lollar feel the need to steal credit from others? I don't have a problem giving people proper credit when I write. 13 MB pdf file, 54 pages.

A few more "gems" from the manual. Lollar herself stated "Surgery, under general anesthesia, should only be performed by a veterinarian." In depo she stated she was "trained." Why couldn't she do surgery? "It doesn't say that I can't." She also stated that she is following Sue Barnard's guide on giving SQ fluids. In Lollar's current book she takes credit for being the first person to ever give SQ fluids to Mexican free-tail bats (eye roll). And, it seems the "foam tip" feeding method may not have been developed by Lollar as per this manual. Lollar talks about incorporating Pat Winter's feeding tips. Pat is now dead. I will be calling upon Amanda Lollar as the author of this manual as my main "witness" in this case. Also note her veterinarian is mentioned, thanked in this manual. Did he even read it? She recommended freezing bats to death.

Here is proof that Amanda Lollar plagiarized a previous book written by French and Lollar. The previous book states the copyright is owned by both authors. Both must give consent to use. Notice how she took something that was well written and made it more difficult to read. She combined paragraphs. This is not a copyright violation because I am merely posting a page so that I may comment. This is almost word for word from French's book.

Page 1 from Amanda Lollar's 2010 book. I was proofing the book for her.

Page 1 from French, Lollar's 1998 book

Page 2 from French,Lollar's 1998 book

I will next post a page from Lollar's 1994 manual. Night and day between this book. It's obvious that French wrote most of it.

January 15, 2012: This is for the person who said the person in the video could be anyone. Here is official transcript from the deposition. Amanda Lollar did indeed state that she has no formal education here. She admits that she learned everything through "trial and error," "the school of life" and that she "taught herself." Also note on pg 9 where I ask her if she's ever been sued. She said "no." I sued her September 29, 2011. This depo was November 8, 2011. Also note that she doesn't remember her GPA. Because she dropped out of high school I'm going to wager that she had poor grades. Good students don't drop out so they can become a fork lift operator, welder and a maid. Oops, I mean a cleaning service. I may subpoena her school records.

January 14, 2012: This was posted on Amazon.com under a book review. "A. Lollar says: "Captive Care and Medical Reference for the Rehabilitation of Insectivorous Bats" was written by Amanda Lollar and Barbara French (not just Barbara French). Amanda Lollar was the primary author. It is impossible to plagiarize your own work."

In Amanda Lollar's deposition she claimed that French wrote nothing in her current book. She said she removed everything French wrote. The table of contents, even the page numbers are the same as the other book. All she did was change the title, ISBN number, removed credits and put her name as the sole author. She did update the book but it's basically the same. She removed a credit to French for co-authoring the 1998 book. She removed credit to Kay Singleton with whom I interned at Bat World. She removed credit to Cynthia Myers. I have copies of the 1998, 2002 and 2010 version of this book. If you compare Lollar's 1994 manual to these books you can clearly see that French most likely wrote most of it. Barbara French has a college degree, did graduate work, worked with researchers, wrote articles for an encyclopedia, taught science to people in college. Lollar did not go past the 10th grade. When Lollar asked me to proof her book I found three grammatical, spelling, typographical mistakes per page. There were so many run-on sentences and dangling participles that major portions should be rewritten. I'm not even a very good writer. I'm sure a good writer would have found more mistakes.

I just looked at the different versions of her books. In her 1994 manual she recommended freezing bats to death. She didn't realize it was inhumane or illegal. In the 1994 manual that she just gave me she changed that and recommended T-61. She says freezing is inhumane. In her 1998 manual she says freezing and T-61 are inhumane. She basically states that she was recommending inhumane methods of euthanasia. She euthanized bats inhumanely as per her own book. If she'd taken a class on animal care or gone to college, she would have known that those methods were inhumane. I am certified to euthanize. I took a class because I wanted to know how to do things humanely.

January 13, 2012: Amanda Lollar of Bat World Sanctuary got mad that I got one of her videos of me removed. In retaliation acting like the mature 55 year old that she is she posted libel about me on her Facebook page which reposts to Twitter. She's being sued for libel and defamation. I notified her Los Angeles lawyer about it. We have a phone conference next Wednesday. I'll be sure to discuss this again. Now that Lollar has money coming in you'd think she wouldn't want to have to give it to me for damages.

Now that Lollar told me she has and had liability insurance I'll be filing a claim for my injury.

January 12, 2012: Correction. The proper title of the Katrina dog lawsuit is "Linda Charles v. Humane Society of North Texas." The defendant was not German Shepherd Rescue of North Texas. CIV 6/21/2006 MISCELLANEOUS CHARLES, LINDA v. HUMANE SOCIETY OF NORTH TEXAS 106485-A filed in St. Bernard Parish, Louisiana. Here is a summary of the case:

"Steven Wise is also representing Linda Charles. Eight members of Charles’ family had to evacuate and there was no room in the car for their German Shepherd. Charles, like Japheth Johnson’s mother and many others, thought they would just be gone for a couple of days, so she left some food and water for the dog. However, the family was not permitted back home for two months. Wise says that Charles persistently worked to find the dog, taking action such as filing a lost dog report on the Internet. She eventually made a match that linked the dog to the Humane Society of North Texas. Charles went to the Humane Society but says they were uncooperative, disrespectful, and accused her of abandoning and neglecting the dog.

Wise argues that a pet owner who is ordered to evacuate and is not allowed to take his or her pet has not legally “abandoned” the animal. The defense attorney in this case maintains that if Wise can prove the dog was properly cared for, he will be returned to the pre- Katrina owner. Wise says this is impossible to show because all the medical records were destroyed by the hurricane."

June 2006 a St. Bernard Parish Judge ordered her dog to be returned to her. "They also announced that Linda Charles, a New Orleans resident in similar circumstances, today received an injunction issued by a St. Bernard Parish judge ordering the Humane Society of North Texas to return her dog, Precious."

Turner did not turn over the dog as per the court order. Instead he papered her until she could not afford to legally fight. How extremely low.

I have it in writing from the Texas Department of Health that Amanda Lollar cannot buy or possess the human rabies vaccination. I reported her as they instructed me to do. I sent along two pages of her deposition where she admits that she has it. I also sent along the receipt for purchase with delivery address and communication with the vaccination company stating they will only sell, deliver it to an address of a veterinarian, nurse or doctor.

Randy Turner attorney continues to try to paper me to death. That is what he does when he knows he has no leg to stand on in this case. He filed a protective order on Bat World Sanctuary's financial documents. I filed a motion objecting to his protective order here. I obviously must see their financials if they claim I have damaged them financially.

I filed a motion to reconsider Plaintiffs' motion for contempt here I cannot give them my home address because my landlord will not allow it. I was forced to sign a confidentiality agreement as to my home address.

January 11, 2012: Randy Turner attorney filed a motion for continuance. I just filed a motion objecting to his motion for continuance. Here is a legible copy.I also sent a fiat and motion for telephonic appearance. He states his paralegal will be out of the office for two months. I don't have a paralegal. I'm not even an attorney but I can still write/file docs and go to trial.

Attorney Randy Turner does not like the photos or videos I posted about him. He sent a nasty letter to Flickr demanding that they be removed. The images are still in other websites including this one. Odd that he demands that those images be removed yet he has no problem with the images his client posted of me.

January 10, 2012: Got back late last night from hearing and mediation in Texas. Judge asked me what I wanted to do about mediation. I told her if she thought the mediator would be fair I would withdraw my motion objecting to mediation. She said he would be fair so I withdrew my motion. She sent us to mediation. The mediator was indeed fair and did a fine job as Judge Bonnie Sudderth stated. Mediation is completely confidential so I can't say anything about what we discussed. We didn't settle so we went back to court to hear the other three motions. I'll start with the good news first.

I won the motion to compel production. I'm writing the order now to give to the judge. They must provide the documents to me. Two items I didn't ask for in proper format so those were denied. I sent in a fifth request for discovery today for those two items. I identified the documents more specifically.

I won the motion for continuance. Trial is now set for week of March 19, 2012. I won because Randy Turner Fort Worth Texas attorney did not give me the expert's report until last week. He also has refused to answer discovery. I've been forced to file motions to compel.

I lost on the motion for my home address. I did not turn over my address as ordered because I know he will give it to Amanda Lollar. She and her friends will try to harm me. I'm now in contempt of court. I am filing a motion to appeal this order in the morning. Randy Turner made sure that I heard him tell his client "she's going to jail." He knows I can hear everything he says to his client. Our tables are only a few feet apart. The Judge said I will be fined $100/day. After ten days I can be ordered to jail. If I'm ordered to jail I will get a public defender. I obviously can't go to jail for a few reasons which I will state at the hearing. If Turner tries to get me thrown in jail that will really show his true colors. I am an animal rescuer who reported his client for animal cruelty and neglect. He's on the wrong side of this fight.

In the meantime Randy Turner now wants to continue the case to May because of assistant will be on leave. I will respond to this in the morning. The court also ordered us to file a discovery schedule with the court. I wrote one up, sent it to Turner's assistant. She said she would write one up. She wrote one up that was almost identical and sent it to the court for the Judge to date and sign.

While I was leaving mediation I saw Amanda Lollar's new car. ***

January 7, 2012: This is for the anon person who emailed asking for the part of the transcript where Lollar states she invented the "V" feeding position. Lollar stated that before she invented this position all the bats fed in an upright position died (eye roll).

A. The bat is held this way, the dropper is held this way so that there's a V at the bottom. The pup's mouth is at the bottom of the V and the dropper is at the bottom of the V.

Q. So you were the first person to have invented this position?

A. Yes.

Q. What year was that?

A. 1998, I believe. It may have been earlier than that.

Q. So you're telling me right now that you are the first person ever to have fed a baby tree bat in that position?

A. I'm the first person to have recommended that they're fed in this position -- that position. Prior to that, everyone held them in their hands and milk saturated their coats and they ended up not surviving.

Q. So all baby red tree bats that were fed before you discovered the V position didn't survive?

January 6, 2012: Amanda Lollar and Bat World Sanctuary reply to my Federal case against them. It's a standard copy/paste reply denying everything and using all of the normal affirmative defenses. What gets me is that Randy Turner attorney had the nerve to ask for special exceptions of my affirmative defenses in this defamation case. Mine are the same as his clients'. Game playing unethical bluffer. While I've only been sued four times for defamation I have helped in other defamation cases. It's always the same affirmative defenses.

January 9 we have a quick hearing on three motions supposedly then we go to mediation. Iffffff we settle I'm sure it may involve take down and gag orders. If we don't, we go to trial the next day. I'm bringing my laptop because I've prepared some court presentations. I will be able to post updates.

Amanda Lollar of Bat World Sanctuary just made this comment on my YouTube video of me deposing her. This is the video in which she states didn't even go past the tenth grade. Talk about childish behavior. Lollar obviously has some major social issues, probably why she dropped out of high school. When I was at Bat World the other people there such as Kate Rugroden and others said she had major social issues, does not play well with people, gets into a major personal fight with others every year. Obviously. Amanda took a weird still of me from my deposition to use as her profile pic. I guess she is trying to be mean by showing an ugly pic of me? I don't quite get it. I have not done the same to her and there are lots of weird stills of her in my depo videos.

Amanda Lollar of Bat World Sanctuary admits she has no education

January 4, 2012: Just deposed ex-intern Sarah Kennedy in NY via phone. She is not a vet, vet tech or licensed wildlife rehabilitator. Randy Turner attorney, lawyer in Fort Worth, Hurst, Texas asked her about the condition of Lollar's dogs. Kennedy said they looked fine. Kennedy is not a vet, did not examine them. Randy Turner attorney, lawyer in Fort Worth, Hurst, Texas asked if the dogs had tartar on their teeth. Lollar's own vet records stated that Pooply had major dental problems. Why get a non-vet to say their teeth were fine when her vet examined them and said they were not? Plus, I have photos of the dogs. You can clearly see at least one is obese. Kismet has super long nails. There's no way she can walk on those let alone run and jump. I took photos of the cats as well. You can see the cats have issues. Again, Kennedy has no other bat experience than with Lollar, just like the person deposed yesterday. They are in no position to state whether Lollar was doing a good job or not. They have nothing to compare it to. Since leaving Bat World I found the real bat experts. I also found some wonderful books on proper bat care written by Phd's and veterinarians. Lollar's book looks like it was written by a total amateur compared to the experts' books. Plus, most of her book is cut/paste from other books, authors.

January 3, 2012: Randy Turner attorney, lawyer in Fort Worth, Hurst, Texas is again bluffing. Randy Turner attorney, lawyer in Fort Worth, Hurst, Texas bluffed about throwing me in jail, coming to Santa Monica to depose my vets, subpoena'ing my computer, having witnesses in court speaking for his client, ordering transcripts....

Randy Turner attorney, lawyer in Fort Worth, Hurst, Texas just sent me a ridiculous supposed "analysis" of online articles and their possible authors. I did not even see some of these articles until Randy Turner attorney, lawyer in Fort Worth, Hurst, Texas gave me links to the articles long after they were posted. He basically thinks I've written and posted everything about him and Lollar on the entire Internet. His expert's theory is incredibly flawed and totally illogical for at least two main reasons. I am a numbers person. Advanced statistics is what I did in college. I will not say why this analysis is so flawed until I call them out on it at trial but I caught it during my first read. Where did he find this "expert?" Are they an expert like Dr. Messner was a "bat expert?" She even said she was not a "bat expert" in her deposition. Randy Turner attorney, lawyer in Fort Worth, Hurst, Texas wrote that Messner would state that Lollar did a fine episiotomy. Messner has never done an episiotomy ever. The only episiotomy she's ever seen was by Lollar, who taught her. I wonder how much money Randy Turner attorney, lawyer in Fort Worth, Hurst, Texas wasted on that "analysis" or the deposition today. They will be used against him. I have no problem posting the truth and what I think about Randy Turner attorney, lawyer in Fort Worth, Hurst, Texas and Lollar on my own website in my own words. Why would I have the need to post anything anonymously on other websites? I believe she committed animal cruelty, so do others.

Here is a photo of my vet with a skunk. He's wearing sterile surgical attire, mask, hat, just took his gloves off. Dr. Kenneth Jones, veterinarian, Santa Monica, California

He just performed surgery on my skunk in a surgical suite. You can see the skunk had an IV and was intubated. He was under Isoflurane anesthesia. He had a heart and respiration monitor. He was prepped for surgery, shaved, surgical site sterilized. Everything was sterile. Here are photos of his hospital and equipment. This is how you do surgery on an animal. Kenneth Jones Animal Hospital You don't do surgery on an animal on a table where you feed animals and dogs lounge around. *** I would think one would want to give the animal the best care possible instead of what she does.

UPDATE: Judge is writing the order now. Disregard. (Just got back from my mailbox. Judge Bonnie Sudderth has not sent her orders yet. She had no problem instantly writing an order for Randy Turner attorney, lawyer in Fort Worth, Hurst, Texas 's motion but she has not written orders for my motion to compel discovery items or motion contesting Plaintiffs' motion to amend the temporary injunction. If she is not going to sign orders for my motions because we're so close to trial, perhaps she should not have signed Plaintiffs' order. The motions were heard on the same day. It doesn't seem fair that he gets an order for a discovery item when I do not. I need the other items. There's no way I can go to trial without those items. Randy Turner attorney, lawyer in Fort Worth, Hurst, Texas does not need my home address. There is nothing discoverable there.)

Just deposed Dr. Janet Messner a veterinarian from South Dakota. Very interesting. She states she is not a "bat expert." The only person who has trained her in bat veterinary care is basically Amanda Lollar. That's all she knows. Lollar told this vet that Bat World Sanctuary set the USDA standards for proper bat care. Not true. The only mention of BWS in USDA is Lollar's complaints about USDA and info act requests. Dr. Messner admitted that people gave rabies vaccinations at BWS. Oddly enough Lollar denies this. Dr. Messner says she had problems administering ISO using a nebulizer so she doesn't use one. She uses Lollar's cotton ball in a cup method. Funny, true bat experts don't have a problem using nebulizers, intubation with insectivorous bats. I would think Dr. Messner would want to get some real training in proper bat veterinary care. Blind leading the blind here. There are experts and books out there. Dr. Messner has never performed an episiotomy on a bat or any other animal. She therefore is not qualified to give her opinion of a proper episiotomy. She claimed she would do "anything" to help BWS. Including saying her methods are fine when they don't even meet the minimum standards of care? Dr. Messner said the afterbirth slid out of the bat that had the episio in the video. It obviously didn't. Lollar pulled it out. You should never pull the umbilicus. Dr. Messner said you can't take blood samples from a bat. Funny, none of the bat experts have a problem doing this. I have three huge books full of proper bat veterinary care written by vets and Phd's from around the world. She admitted her memory was bad. She is 66 years old. She said she was exhausted when she was at BWS. Probably from feeding bats all day. She was polite but refused to answer a few questions. Her answers show she is truly biased and is not a bat expert. If I asked her if she needed open heart surgery, would she let Lollar do it, she probably would have said "in a heart beat!!!" While she is a loyal friend, does indeed care about animals, probably a good vet for cats, dogs, birds, I don't believe she is a bat expert and she agrees. I don't think she should have risked her reputation on Lollar, not deserving. Sooo many bat experts have called Lollar out over her methods over the years. I've done a ton of research.

Here is the most important part of the deposition. Dr. Messner said she would not put a conscious animal in the freezer to euthanize it. She seems to think that was considered okay in 1984. True experts knew by the 1950's that it was not okay. Messner does not know what she's talking about in this regard. In 1994 Lollar had access to her vet for euthanasia. Why she would put bats in the freezer to kill them is beyond me. Mediation and trial will be very interesting. I'm obviously sitting on a ton of info, physical evidence uncovered by lots of research and investigation.

January 2, 2012: Just confirmed that Amanda Lollar of Bat World Sanctuary is illegally obtaining human and animal rabies vaccinations. There must be a veterinarian, doctor, RN or pharmacist listed at the address where the vaccines are shipped. I've been searching licenses and don't find any at the address of Bat World Sanctuary. "Thank you for clarifying your question. We must be able to verify a state licensed veterinarian at the address we ship human vaccines to. Other qualifying licenses are doctor, RN, and pharmacist." ***

January 1, 2012: I posted the annual Animal Advocates' year end report two days ago. Amanda Lollar then posts her almost identical year end report. Mine is factual. Her's is not based in reality. Lollar takes credit for the work of others. If I had finished out my two week internship, she wanted to call me "Bat World Los Angeles." She told me this like it was a gift. Why would I want someone else to take credit for what I do? I never would have changed the name of my organization or let her take credit for my work. She then has the nerve to ask for donations so she can continue doing all these things which other people have done. The money goes to Amanda Lollar. All the other people do the work at their own expense.

In her report she admits that Pooply the old dog died. ***It's all in her vet records. Randy Turner attorney, lawyer in Fort Worth, Hurst, Texas may not give a crap about bats but he should at least care about that dog. He's a dog person.

December 30, 2011: Just received Amanda Lollar's vet records, receipts for drugs bought from her vet and her 1994 manual. In 2010 two mastiff bats (Bertha, Wendy) died at Bat World from a urinary blockage and pneumonia. How does a young bat die of blockage or pneumonia? Those are treatable conditions if caught in time. They were not even old. Now I realize why she wanted to keep the current mastiff bat even though it was releasable. Because her other ones died and she just plain wanted it. It also looks like, though I must confirm on Monday, Bat World was pretending to be a medical center in order to get rabies vaccinations. Lollar bought them online. I set up an account for myself and it says I must be a doctor or hospital to order vaccines. ***Impersonating a doctor. Is that a crime? On top of this her old dog that was euthanized was in really bad shape. One had end stage periodontal disease with tons of tartar. Why didn't she have her vet clean the dog's teeth instead of letting it get worse? Earlier in the year the vet noted the dog had major dental issues yet she didn't have the vet treat them. You know how painful it would be to have a mouth full of rotten teeth? That's animal neglect. Another interesting thing is her vet give's her an employee discount. She is an employee at the vet? He does indeed sell her drugs. I'm amazed he is/was willing to risk his license for Lollar. It's also interesting that in deposition Lollar said her vet didn't charge her. Yes, he did charge her. That's probably why she didn't want to take her animals to the vet. He charges to use iso on them.

December 27, 2011: I've been preparing for trial and coming depositions. Still asking for discovery docs and deposition dates for key witnesses such as her vet Dr. Tad Jarrette, Jannette Villareal and Kate Rugroden. No response from Randy Turner attorney, lawyer in Fort Worth, Hurst, Texas 's office. I even contacted the witnesses directly. I am also going through depo videos. I'm amazed Amanda Lollar posted this video herself. She comes across as totally crazy. If she removes it, I'll repost it. I'm also amazed that she put ads on it. I reported her. You can't put ads on videos you take of other people without a model's consent. I didn't consent to her making money off video of me.

In this video Amanda Lollar states she can perform surgery on bats because "it doesn't say it's illegal." Yes, it does say it's illegal for a non-vet to perform surgery on bats. It's in the Texas Veterinary Act. I also contacted the Texas Veterinary Board. They told me she was committing animal cruelty. She starts saying this at 2:15.

December 20, 2011: Plaintiffs filed a motion for contempt because I didn't hand over my home address. I just filed objections to his motion for contempt. They only want my home address to harass me. They have continued to post libel all over the Internet about me. Every week there is more.

December 19, 2011: Just filed Defendant's motion to compel discovery and sanctions. This isn't the entire file. It's missing the FIAT and motion for telephonic hearing.

I sent an email to Randy Turner attorney, lawyer in Fort Worth, Hurst, Texas , cc'd to his assistant Kelly Bozeman and his law partner Tom McKenzie about his inappropriate behavior. Here it is.

December 18, 2011: This is for whomever sent in the anonymous request for the text where Amanda Lollar says she's being forced out of Mineral Wells, Texas because of complaints to the Health Dept and City. Here it is. Look at all the errors in this document. Again, Lollar told the City she was leaving. She offered to leave after she got the head's up that the City wanted her to exclude the bats from the wild sanctuary. They never told her to leave. They told her to "get the bats out of town." They told her to exclude the bats just like they told everyone else in Mineral Wells. She is just the only person who refused to exclude bats after a rabid baby bat bit a toddler on the cheek right outside her sanctuary. She is using this to try to play the victim and make money, as always.

December 17, 2011: Updating from my iPhone. Randy Turner attorney, lawyer in Fort Worth, Hurst, Texas Turner attorney has just lost his email privileges. He was emailing me at 9:30 - 10:00 pm his time and wrote some things he should not have written. He's now cut himself off from emailing to/from me. He should have done that a while ago. I'm amazed he put some of those things in writing. I copy/pasted part of one of his emails into a legal filing yesterday which is how he was busted. He obviously has major impulse control problems. His assistant is now handling all of his communications. If you ask me, she or his partner Tom McKenzie should be handling the entire case from here on out. Randy Turner attorney, lawyer in Fort Worth, Hurst, Texas is too personally involved in this case to make good decisions. He keeps making one mistake after another.

This is from my legal filing, "Defendant asked Plaintiffs’ attorney Randy Turner to change the date of December 20, 2011 to January 4, 2012 or any day during the first week of January 2012. Plaintiffs’ attorney said he would only change the date if Defendant signed an injunction against Defendant (yes, against herself) agreeing to remove every negative mention of Plaintiffs’ attorney and Plaintiffs from the entire Internet or else (from his email), “the lawsuit will crank up into high gear again with endless hearings, depositions, motions and, eventually, a trial. I am fine doing that. I litigate for a living.” Obviously Defendant cannot sign an injunction which is physically, technically and legally impossible." Randy Turner attorney, lawyer in Fort Worth, Hurst, Texas admits to abusing the process of law. That's unethical and unprofessional behavior besides just plain mean and nasty to try to paper, lawyer me to death. He's been abusing the law during the entire case. I really hope he never becomes a judge. Thank god the republicans control Tarrant County.

December 16, 2011: Just received Plaintiffs' response to my previous discovery request. They are objecting to every item for one frivolous reason or another. For instance it would be too "burdensome" to email me two digital photos. They prefer to print them out and have me fly to Texas to view them. Same thing with her pdf manual. It would be easier to print it out and have me view it in Texas. They obviously don't want anyone to see these items because they are embarrassing. Other items they state are "confidential" or not related to the case. When Amanda Lollar stated she was damaged financially she opened herself up to having to turn over all of her personal and Bat World financial documents. I just wrote another motion to compel, filing it Monday.

UPDATE: Seems the mediator's assistant made an error. It is not $1,000/hour. It is $1,000 total divided between the parties or $500. Unfortunately I didn't get that email until after I filed Defendant's Motion Objecting to Order of Referral to Mediation and Motion Requesting Hearing by Phone. Full copy here. Legible motion only copy here.

An interesting turn of events. Court coordinator has instructed the mediator to schedule mediation for January 9, 2011. If we don't settle that day, we go to trial the next day. The mediator wants $1,000/hour for four hours minimum. That would be $2,000/party which is four times the average for Texas. It seems the mediator is a friend of Randy Turner attorney, lawyer in Fort Worth, Hurst, Texas based on Internet searches. Randy Turner attorney, lawyer in Fort Worth, Hurst, Texas 's assistant also seems to be a friend of Jason Smith's assistant. I have asked for a new impartial mediator who will charge the going rate which is $500/party for four hours total. I realize the Judge ordered this to get us to settle. She doesn't realize that Randy Turner attorney, lawyer in Fort Worth, Hurst, Texas is a friend of Smith and that Randy Turner attorney, lawyer in Fort Worth, Hurst, Texas would be willing to throw away $2,000 on mediation. I doubt his friend would even charge him. Randy Turner attorney, lawyer in Fort Worth, Hurst, Texas is hoping I can't afford to mediate because I complained about a $120 increase in air fare. I hope the Judge will resolve this issue fairly.

December 15, 2011: I filed a lawsuit against Amanda Lollar, Bat World Sanctuary and John Does 1-10 September 29, 2011. Here it is. Amanda Lollar, Bat World Sanctuary filed a motion to dismiss or transfer for lack of proper venue. They wanted to join this case with that case. They just lost. California Federal Central District court is the proper venue for the case. One little hiccup is that I made a mistake in my filing. I didn't include the exact date of the libel in the body of my complaint. Judge is giving me 15 days to fix it. I already wrote the document and will be filing it in the morning.

December 14, 2011: ***.

Just received a supplement response to disclosure from Amanda Lollar's attorney Randy Turner in Fort Worth, Texas. Randy Turner attorney, lawyer in Fort Worth, Hurst, Texas 's documents make absolutely no sense. Their arguments are illogical. First they say the City is forcing them out of town because of reports to the City and Health Dept. Attorney Randy Turner then says that I am the reason Bat World Sanctuary is being "forced" out of Mineral Wells. They were told to leave years ago by the City and Health Dept, 12 years before I ever went to Bat World Sanctuary. I have it in writing. In fact Amanda Lollar agreed to leave three years ago. She said she was leaving, still years before I went there. Now she says she will be damaged in the amount of $4,000,000 plus legal fees to leave town! She said it will cost $2,000,000 to build a new Bat World yet the old one is only worth $70K. Excuse me? I'm a real estate appraisal expert with 27 years of experience. That makes no mathematical sense!

On top of this Amanda Lollar is not leaving Mineral Wells. She didn't even exclude the bats as order by the City years ago. And if the City is forcing her out, why doesn't she sue them like she sued me? As far as I can tell the City only told her to exclude the bats from the wild sanctuary. They never told her she couldn't live in Mineral Wells. She said she will lose $200K a year in revenue times ten years from my "defamation." What? Last year $130K was donated. This year she's making a lot more than that. She's making MORE money, not less. She has no damages. You must prove financial damages in defamation. Even if no one donated she could only possibly lose $130K, what was donated last year. Amanda Lollar did not go past the tenth grade. She should not be left alone in a room with numbers. She could really hurt herself. I can't believe Randy Turner attorney, lawyer in Fort Worth, Hurst, Texas did not read what she wrote before he copy/pasted it into his document. Including that ridiculous bit makes him look extremely foolish.

Randy Turner attorney, lawyer in Fort Worth, Hurst, Texas has found an "internet expert" who is willing to say that I have "used advanced computer techniques to anonymously post untraceable defamation about the plaintiff using proxies and robots to cause the defamation about the plaintiffs to appear higher in Google search results and throughout the internet." First, if it's anonymous and untraceable, how does he know I did it? He obviously doesn't. Second, it is absolutely impossible to use proxies and robots to manipulate Google search engine results. Google uses captcha. Proxies and robots cannot do captcha. Google itself says in writing it's impossible to manipulate it. If it could be manipulated, Randy Turner attorney, lawyer in Fort Worth, Hurst, Texas would have had his "expert" manipulate it to remove the articles he hates and promote the positive ones he wrote. Not even Reputation Defender can do that. If I could do that, I'd be a billionaire. I'd also be able to get rid of those libelous blogs about myself which are still there. I've been writing html code since 1994 by hand. I tested Google in beta when it first came out in 1998 and 1999. I've been doing search engine rank since 1994. That's 17 years. I think I know what I'm talking about. His expert does not. His expert will destroy his reputation if he gets on the stand and utters that nonsense. This expert states in his linkedin account that he made the Bat World and Amanda Lollar websites. If so, he left the Bat World website completely open for the first few months. All root folders were visible. Nothing was password protected or made private. He is the reason her book was made publicly available for $0. I didn't hack into her site. It was completely unlocked. That's their "expert?"

As per Randy Turner Fort Worth, Texas attorney Dr. Tad Jarrett will say that Amanda Lollar of Bat World Sanctuary does a fine job with bats. He is willing to say he approves of her using drugs illegally, improperly, inhumanely? He approves of her giving rabies vaccinations, performing surgery, doing amputations and c-sections? I doubt it. It's all in her book. I'm going to depose him then send the transcript to the AVMA and TVMA. She has another "expert" who is not a DVM who is willing to state that Amanda Lollar's care of bats was fine. She was just someone who interned at Bat World. Will she agree that it's okay for her to give rabies vaccinations, pull out the molars of conscious bats, do c-sections, amputations? I doubt it. She also has a neonatal human nurse. If I ask her if one should pull out the umbilicus will she say that's okay? Lollar's own book says not to do that. So does all the medical texts. Sarah Kennedy is also a "witness." To what? I never met her. I sent her two emails after she defamed me. She was just named in the Federal lawsuit. Thanks for the address. These witnesses are going to come back to haunt Lollar.

December 13, 2011: Viewed all the video of the wide angle view of my deposition. Half of the depo is missing. Some is missing in the middle then in the end. The video numbers aren't in order. I know why this specific portion of the wide angle is missing. How convenient. The court reporter not only didn't transcribe everything Lollar said, he also didn't transcribe everything my lawyer and I said. It's clearly audible on the video even though it was almost side bar talk. Some exchanges are missing. Near the end of the video Randy Turner attorney, lawyer in Fort Worth, Hurst, Texas and Amanda Lollar both do something very strange. That is of course missing.

I'm going through transcripts from hearings and depositions. Earlier under oath Lollar stated she had an old dog that had surgery which is why it couldn't walk. At her recent deposition she said that dog not only could walk but it can run and jump. Even though I only saw that dog drag herself by her front legs Lollar claims that the dog ran and jumped in front of me. My photos and witnesses say otherwise. *** There is something really wrong here for her to make up these stories. Her Randy Turner attorney, lawyer in Fort Worth, Hurst, Texas just lets her ramble on. If he really did go to Bat World Sanctuary he would have seen the dog dragging itself around. Why not get it a cart? I would not let my dog drag itself around. She has to drag herself on cement.

Amanda Lollar of Bat World Sanctuary took in eight fruit bats from a zoo a little while ago. One just gave birth to a baby and supposedly mom dropped the baby. Lollar is now hand raising it. Amanda Lollar must spay or neuter all bats. Why didn't she spay the mother? She keeps saying there are too many unwanted fruit bats and not enough homes. The answer is that she wanted a baby to take pics and videos to raise money. I have no problem having my vet do late term spays on cats and dogs.

A while back a man asked her what formula he should feed to baby fruit bats. Instead of answering Lollar told him he didn't know what he was doing if his mom bats were dropping their pups. Does that mean Lollar doesn't know what she's doing because her mom bat dropped its pup? Did the mom even drop the pup? Lollar has 150 fruit bats in an enclosure about 40' x 15', maybe a little bigger. I personally feel that space is not big enough for 150 fruit bats. That's probably why the mom was stressed. The minimum standards say insectivorous bats need 20' x 10' x 8' for one adult or juvie. Fruit bats are bigger and she has 150.

Lollar named this fruit bat "Lil' Drac." It's a fruit bat, not a blood sucking bat. She says she hates bat stereotypes yet names this bat after Dracula? She said in her video that she put tattoo ink on the bat to identify it. That's not tattoo ink. It's children's paint. One last note, there is nothing wrong with that baby bat. Why not send it to a fruit bat rehabber who could ultimately release it to its native land? Why force it to live its life in a small enclosure? Just pointing out that it's not really about what's best for bats at Bat World Sanctuary.

I just looked at the old Minimum Standards for Wildlife Rehabilitation manual. They also state that freezing is inhumane. "Methods considered inhumane and/or unacceptable for euthanasia of wildlife. Many techniques have been used to provide death to wild animals, but many of these are also considered inhumane (therefore not true euthanasia) or extremely dangerous, and are not condoned under these Minimum Standards for Wildlife Rehabilitation. Methods which are not approved for use in wildlife are: Freezing." They list a few others as well. This was from a 1994 manual. She should have known it was inhumane.

December 12, 2011: Trial is scheduled for the week of January 9, 2012 but we still have not had mediation. We don't even have a set date and must mediate before trial. Randy Turner attorney, lawyer in Fort Worth, Hurst, Texas has still not given me deposition dates for Dr. Tad Jarrette or Jannette Villareal. I just filed a motion to continue the trial plus a motion to appear by phone for that hearing here

December 11, 2011: Watching Amanda Lollar's videos of my deposition. It's just as I remembered. The court reporter made mistakes. What I accused my attorney of doing he is indeed doing in the video, even more so than I remembered. In the wide angle lens view I can clearly see my attorney and Amanda Lollar, the opposite view that I had during the deposition. Randy Turner's slow muffled voice and my slow boring monotonous voice can easily put people asleep. Here are some photos. I'm being sworn in, in the first photo. As I look at the depo video the court reporter cannot see my attorney because he was way to the right and sat away from the table. The court reporter swore in front of a notary public that he saw my attorney during the entire depo. Court reporter perjured himself. And this is why they won't give me the other half of the video.

Mary Cummins being sworn in at her deposition by Randy Turner attorney, lawyer in Fort Worth, Texas, Bailey & Galyen

Mary Cummins and her attorney at her deposition by Randy Turner attorney, lawyer in Fort Worth, Texas, Bailey & Galyen

Just uploaded a video from Amanda Lollar of Bat World Sanctuary's deposition. She admits she has no education, didn't even finish high school, is not a veterinarian, has never taken any classes in animal care. She forgets she lied to the media when she told them she graduated from Mineral Wells high school. She admits she taught herself how to perform surgery on bats then claims her "techniques" are proprietary. When I asked her about her "book," she said "do you mean my 'medical reference?'" She thinks her book is a "medical reference?" *** The bottle says you must use a nebulizer. That's no "medical reference." Delusional. I asked her very simple veterinary questions during her depo. She got ALL the answers wrong. She was so far off on proper dosage of anesthesia.

Going through the transcript of my deposition Randy Turner attorney, lawyer in Fort Worth, Hurst, Texas 's court reporter made a ton of mistakes. For starters he did not list everyone who was present. He forgot Dottie Hyatt, Larry Crittenden and Kelly Boseman. My court reporter listed everyone in the room. I asked Randy Turner attorney, lawyer in Fort Worth, Hurst, Texas 's court reporter for a pdf copy of his transcript. He wanted $350. I asked my court reporter for a pdf copy and it was something like $10. All they have to do is click print to pdf. For some silly reason I thought court reporters were independent and impartial, had to be honest. I now realize that Randy Turner attorney, lawyer in Fort Worth, Hurst, Texas 's court reporter would say, do, sign whatever he says. Randy Turner attorney, lawyer in Fort Worth, Hurst, Texas 's court reporter signed a statement that Lollar said nothing in the deposition. That is a lie based on his own transcript and what really happened. I find this corruption shocking. Maybe there is something to the "good ole boy" mentality going on here with Randy Turner attorney, lawyer in Fort Worth, Hurst, Texas . Randy Turner attorney, lawyer in Fort Worth, Hurst, Texas definitely had that relationship with my ex-counsel.

December 6, 2011: I just received this email from Rebecca Dmytryk of WildRescue. "Hey Mary - ' just saw the post you made regarding me and my history as a rehabilitator. Kindly take these and insert into orifice of choice - oh, and fuck off!" She also posts filthy things online about me. FWIW here is the request and result of my info act request into her permits. They only found a hand-written note declaring Rebecca Dmytryk's interest in being added to Silicon Valley's Wildlife Rehabilitation Volunteer list. That's it.

December 5, 2011: I received some nasty anon email last night supposedly from Randy Turner attorney, lawyer in Fort Worth, Hurst, Texas via an anonymous sender that I can't trace. I highly doubt he sent it. While I feel he is unethical and unprofessional I doubt he's send something so disgusting. The person wrote that I was dressed like a "whore" at Amanda Lollar's deposition wearing a low cut top with my "breasts hanging out" "begging to be ogled." I doubt Turner would use the word "ogle." I bet a female wrote it perhaps with the initials A.L. or else the person was not there. Here are two stills of what I wore. My black suit slacks got drenched in the rain the night before so I had to wear the jeans I was saving for the flight home. They were loose. Even when I bent over you could not see anything in my top as evidenced by the second photo. The videographer was handing me my papers across the table. Randy Turner attorney, lawyer in Fort Worth, Hurst, Texas is to my immediate right and couldn't see this view.Mary Cummins, Mary, Cummins-Cobb, Cobb, Los Angeles, California, Animal Advocates, Cummins Real Estate Services, lawsuit

Mary Cummins, Mary, Cummins-Cobb, Cobb, Los Angeles, California, Animal Advocates, Cummins Real Estate Services, lawsuit

December 2, 2011: Amanda Lollar of Bat World Sanctuary has loaded up more video from her deposition. Here is a clip where I ask her how long I was at Bat World. At the May 4 hearing she said I was there four days. Now she says I was there six days and that she was mistaken earlier. I ask her if I was there ten days and she says no. I was there ten days. Why does she even deny this? It doesn't matter and it makes her look like a liar or someone with a very bad memory. I arrived June 19 and left June 28, ten days. Here is an email saying my internship starts June 20. Amanda Lollar is the one who set up these dates. She also chose which interns would work which dates. I was told to fly in the day before because I had to be there in the morning and it's a 1.5 hour drive from Fort Worth. I paid for the gas for Kate's car and have the receipt with a time/date stamp on it. It was in the morning, definitely not at night. I saved every receipt for every meal, every cost because I was going to write it off as "education." I spent over $2,000 to go there not including costs associated with herniating a disc at the wild sanctuary. I also lost money from lost business.Here is the internship offering. Notice the dates available, June 20 to July 4. I was there June 20 to June 28, nine days at Bat World Mineral Wells, one day Bat World Midcities. I was feeding baby raccoons and bats at Bat World Midcities the day before. And FTR I have no desire to harass her dad in a nursing home. I've known where he is living for over a year. Lollar on the other hand will definitely harass me if she gets ahold of my address.

They are making comments about me on the videos which I've saved. Here are a few, "OMG, she thinks she is a detective when she is simply a balding, wrinkled, puffy joke. She is truly ignorant." "Nice man back baldy." "I am witnessing true idiocy. MC is a dolt." "mentally challenged." "Just stop mc this is so embarrassing - your behavior so cringe worthy I have goose bumps." They also repeatedly call me "fat" and "ugly." I have seen photos of these people yet I've never attacked their physical appearance. They obviously don't understand what a deposition is all about. I know the answers to the questions that I am asking. I just need to get Amanda Lollar committing perjury under oath. I know that she is not answering honestly and I have proof. I let her ramble on so she could hang herself which she did. She also slandered and defamed me in the depo. I know the formal names of the bats but don't want her to state them because I have to pay extra for medical, technical transcription.

Amanda Lollar's friend Rebecca Dmytryk just posted this to CCWR Yahoo group. "If it turns out that the bird will never fly again, i (sic) hope you will consider euthanasia as a gentler end to the eagle's life over the years it would suffer behind bars. Life for an adult wild-born animal is filled with stress and suffering - endless days yearning for the one thing you withhold - its freedom. Please don't do it." How does Dmytryk feel about the 300 bats that Amanda Lollar keeps in captivity? Some aren't even unreleasable like the big brown bat she just got in. She just wanted to keep it and made up a story that it was "lost." Migratory bats have a keen sense of location and direction. They don't get "lost." If Dmytryk didn't hate me she would tell Lollar to euthanize all her unreleasable bats. p.s. I did an info act request to CADFG inre Dmytryk. She has no permits and never has had any permits as per their response. She was never a licensed or permitted wildlife rehabilitator as per CADFG. Her resume says she was a licensed and permitted rehabber for over 20 years. If you go to the CADFG website she is listed as "(transportation and wildlife information only)." Anyone can transport or give info. She is not a wildlife rehabilitator. She cannot give any care to the animals.

December 1, 2011: More from the depo. I asked Amanda Lollar if she had ever been sued. Mind you I deposed her November 8, 2011. She said "no." She forgets that I served her with a lawsuit October 18, 2011 just three weeks earlier. Not only did I sue and serve her but I released a national press release about it which ended up posted on her Facebook page. She even wrote a response to my press release. Here's another. I asked her if she ever used a different name. She said "no." I then asked her if she ever used her ex-husband's name. She said "yes." I asked quite a few questions just like this and got obvious wrong answers. I really think there may be a memory issue here besides lying. I'm sure her attorney Randy Turner of Forth Worth, Texas told her that I would know the answers to 98% of the questions I was going to ask. I just want to get her committing perjury on the record.

November 28, 2011: Two more stills from the depo. The first one is a rare image. Randy Turner attorney, lawyer in Fort Worth, Hurst, Texas actually looks at my face. Of course he does that while I'm not looking at him. I was looking at the witness or my notes during this depo. Actually I see that I was writing something in my notes so I definitely didn't see him. I wish I had my own video running during my depo. Randy Turner attorney, lawyer in Fort Worth, Hurst, Texas was out of line. And of course both of his videos are now missing the same 20 minutes each. Had I only known their court reporter had an audio file I could have asked for it before he erased it.
Randy Turner, Randall Turner, Bailey & Galyen, Bailey & Galyen, Fort Worth, Hurst, Texas, attorney, lawyer looks at my face

In the second one I was sitting back from the table and leaned forward just to scoot my chair in. He is looking at my chest. This is the only time he opens his eyes all the way. Based on his expression you would think I took my top off but no. This is just what he does when he looks at a woman's chest. The first time he looked at me like this I thought my blouse had accidentally become unbuttoned. It hadn't. FTR I was not wearing a low cut top. Look at the image of me deposing Lollar beneath this. No cleavage is showing. Mr. Randy Turner attorney, lawyer in Fort Worth, Hurst, Texas is 60 years old. He should know how to control his eyes by now.
Randy Turner, Randall Turner, Bailey & Galyen, Bailey & Galyen, Fort Worth, Hurst, Texas, attorney, lawyer looks at my top

November 23, 2011: Amanda Lollar of Bat World Sanctuary just loaded up some video of my deposition of her. Oddly enough she has not found the time to send me copies of her videos as promised. Randy Turner attorney, lawyer in Fort Worth, Hurst, Texas said he'd send them by the end of the week which would have been 11/11/11. I promised to send him mine the day after I receive his. I burned mine to disc two days after her depo. Will I have to file another motion to compel?

Mary Cummins, Animal Advocates, Los Angeles, California, deposing Amanda Lollar of Bat World Sanctuary

First, notice these videos showed up embedded in another website. Randy Turner attorney, lawyer in Fort Worth, Hurst, Texas Turner swore that I loaded my videos directly to this site. He can now see that this site pulls content from other websites such as YouTube. Second, notice how Amanda Lollar is now saying over a year after I posted the videos that I am "squeezing" a bat and holding it "improperly." Didn't she teach me how to handle bats? Obviously I'm not squeezing the bat. I am not "shoving" an eye dropper in its mouth. She is absolutely straight out lying. She did this a few times in the depo. She even said that I called a friend of mine "fat" when Lollar is the one who called her "fat." The only person I call "fat" is myself. Lollar's comments are defamation and slander. She saw all these videos before I left Bat World Sanctuary, i.e. before June 28, 2010 yet this is the first time she says I was "squeezing" a bat, holding it "improperly" and "shoving" an eye dropper in its mouth. What's really odd is that Lollar was sitting right next to me when I took these photos and videos. Why didn't she say something then? Here's a link to the page. I'll start loading up all the depo videos of Amanda Lollar and her lawyer Randy Turner of Fort Worth, Texas law firm Bailey & Galyen in the morning so you can see just how she has edited this video. You can see my video camera showing my view in the background. You don't see her attorney in this video. Only my video shows her lawyer "resting his eyes," biting his thumbs, looking at me inappropriately, not paying attention, not looking at any exhibits...

Still having issue getting mpg to play with sound on my iMac. I don't have video editing software on my PC notebook. A few more stills. Randy Turner attorney, lawyer in Fort Worth, Hurst, Texas is indeed only resting his eyes in this photo. We're only a minute into this session after a ten minute break yet he's yawning, stretching and sitting there with his eyes closed. Those are exhibits in front of him which he did not look at. They were documents he'd not seen before. I think he intentionally did not look at the documents just to show disdain toward me. Randy Turner, Randall Turner, Bailey & Galyen, Bailey & Galyen, Fort Worth, hurst, Texas, attorney, lawyer texting, eyes closed during his clients deposition

Now his eyes are indeed open. What is Randy Turner attorney, lawyer in Fort Worth, Hurst, Texas looking at here? I'm not in my chair. I stood up to turn on my camera. I'm standing to the left of my camera facing him. I actually checked my zipper twice because he'd instantly look at my crotch when I would stand up. He'd also look at my chest as seen in the photo few pics above. Even though he hates me Randy Turner attorney, lawyer in Fort Worth, Hurst, Texas has a problem with wandering eyes. I'm sure he probably does this with almost every female. Perhaps he doesn't realize that it's rude? UPDATE: I just emailed him the photos in question and politely asked him not to stare at me inappropriately in the future. Let's see if he can control his wandering eyes.Randy Turner, Randall Turner, Bailey & Galyen, Bailey & Galyen, Fort Worth, hurst, Texas, attorney, lawyer texting, inappropriate staring during his clients deposition

Just read the USDA's report about their "investigation" into Bat World. The investigator was Bat World's regular USDA inspector. They did not review my photos or videos, neither did Texas Parks & Wildlife Department. They did not inspect the wild sanctuary building which everyone has been complaining about for years. Dr. Tad Jarrett Amanda Lollar's veterinarian was willing to say that he thinks Lollar should be able to do "emergency" procedures because he "trained" her. Did he train her how to properly use anesthesia? She is using the Iso improperly besides inhumanely. Did he train her to improperly pull the umbilical cord out of a bat? Did he train her to perform surgery in a non-sterile environment? Let's see what the Texas Veterinary Board thinks about this. I doubt they would be happy that Dr. Jarrett is giving Isoflurane and other drugs to Amanda Lollar to improperly use in her "surgeries" under his license. The episio wasn't even an emergency. His office was open and just down the street. The bat with the laceration should have been sutured by a vet. Lollar couldn't even see what she was doing. She lost the needle in the bat and tore out two stitches. Her vet said that he should do neuters, spays, open body cavity surgeries and rabies vaccinations. Oddly enough Lollar admitted that she does neuters and c-sections besides giving rabies vaccinations. I have it in writing from Lollar that she does these things besides video. The inspector says that what I reported is not consistent with what Lollar recommends in her book. Exactly! The inspector decides just to take Lollar's word for it. Of course her regular inspector will say that all is hunky dory. If they didn't, they would look like they weren't doing their job.

The USDA is so incredibly weak. This is how disasters like Tiger Rescue happen. I had to help clean up that mess with DFG. The USDA let them operate inhumanely and unsafely for years. I just pulled up the final report on Tiger Rescue. The USDA let them operate like this for years.By the time DFG and Animal Control arrived there were dead tigers all over the place. I was there for a few days cleaning, feeding the tigers.

The last time Lollar got in trouble when a rabid bat bit a toddler she hired a lawyer and the trouble went away. Again, she gets in trouble and hires a lawyer, same thing. OJ got away with murder after he hired an attorney. I guess the only thing to do is to just warn people about Amanda Lollar and Bat World Sanctuary.

November 22, 2011: Bat World Sanctuary just won $25,000 in a contest. Now they can pay my costs and fees. Hopefully Randy Turner attorney, lawyer in Fort Worth, Hurst, Texas will not ask her to start paying his bill.

Randy Turner attorney, lawyer in Fort Worth, Hurst, Texas told me yesterday that my court reporter and videographer would back up his story that he never slept. I contacted them and asked. Randy Turner attorney, lawyer in Fort Worth, Hurst, Texas never contacted them at all. Another lie by Randy Turner attorney, lawyer in Fort Worth, Hurst, Texas . How does this person sleep at night? All he does is bully, threaten, abuse the law, lie...and "rest his eyes" during depositions. In fact I just looked at video of the depo again. I had my video running during breaks. I actually said to the court reporter "sorry for putting people to sleep." I saw Randy Turner attorney, lawyer in Fort Worth, Hurst, Texas yawning and closing his eyes when I glanced over. I didn't realize he really was nodding off until I saw the video.

November 21, 2011: Randy Turner just threatened to sue me, again. He says that I said he "slept" when I clearly said he "rested his eyes." Here is our email exchange, ridiculous.

From Me: "I did not post anywhere on the internet that you "slept." I said you were "nodding off." You indeed were nodding off. Look at the photo. I also have full video. You're yawning. You couldn't keep your eyes open. People don't remember when they fall asleep, Mr. Turner. I didn't even notice you nodding off until I viewed the video days later. Would you like me to send you some private short videos? I've just been busy or I would have loaded them up to the Internet earlier."

From Randy Turner attorney, lawyer in Fort Worth, Hurst, Texas : "I don’t need the videos. You have sent multiple emails entitled “Attorney Randall Turner sleeping during client's deposition.” I rested my eyes but did not “sleep” and you know it. However, you obviously enjoy litigation and if you want to argue in yet another lawsuit that I was sleeping and everyone in the room except you was either not paying attention or was mistaken then I will be happy to oblige."

My comment on this email exchange. I will of course be posting the videos in the morning to prove that he indeed nodded off. This is all so silly. If he closed his eyes or slept, how can we tell the difference anyway? Just take his word for it? I have a bad stomach flu or I would have posted them earlier. Turner admitted he "rested his eyes." He shouldn't have been doing that in his client's video. He didn't look at any of my exhibits. I didn't write anywhere that he "slept" and I've never called him "Randall." No one does. *This is not a privileged conversation because Randy Turner attorney, lawyer in Fort Worth, Hurst, Texas never puts that legal disclaimer on the bottom of his emails, only on his faxes.

November 20, 2011: PDF file from the American Veterinary Medicine Association stating that hypothermia or freezing an animal to death is not humane. Amanda Lollar of Bat World Sanctuary used to recommend freezing bats to death in her 1994 manual. She didn't understand bat behavior or basic veterinary practices because she has no training and is not a veterinarian. She's since tried to use semantics to say she never recommended "fast freezing" animals to death. Even "slow freezing" animals is inhumane, i.e. hypothermia. Dr. Tad Jarrett was her vet at the time. Did he know that she was telling people to freeze bats to death? I'm sure he knows it's inhumane because he went to vet school.

November 17, 2011: Amanda Lollar of Bat World Sanctuary stated in her depo she had 1,000 members. At $25 a pop that is $25,000 per year. All she has to do is email them her newsletter in exchange for that. The newsletter just asks for more money. She's been entering some online contests. Bat World Sanctuary may be up for $25,000. I may be able to get something out of Bat World Sanctuary after all.

I just did the math for Amanda Lollar's income. At the depo her attorney Randy Turner Fort Worth, Texas attorney allowed me to ask about her personal income until he "woke up" and told her to stop answering. She said her only income was $1,500 rent for her building on Oak. She said her mortgage was $900 and she paid $150/mo for life insurance. That leaves $450/mo. After she pays property tax, insurance, maintenance, her portion of utilities, food, clothing, medical, dental...I doubt there'd be anything left. She also said that she paid Jannette out of her personal pocket. Something is wrong with the math. I personally believe that Amanda Lollar is using Bat World Sanctuary as her personal piggy bank. She always states that Bat World is about to close but they bring in $130,000-$150,000/year. No one gets a salary. She just bought a new car. Here is their 990 in pdf format. She is depreciating the rehabilitation center which is her house/property. She can't do that. Tax fraud. She can only depreciate the building which Bat World Sanctuary owns. She also has Bat World Sanctuary paying for improvements and maintenance on her personal building. I doubt she is declaring this "income." It adds value to her personal property.

On Bat World Sanctuary's Facebook page they say they support veganism and PCRM. Amanda Lollar is not a Vegan. Neither is her meat eating, leather wearing husband. More fraud and fakery. If you truly support veganism and PCRM, go vegan. I really hate people who pretend to be Vegan. It's like religious blasphemy. When I wasn't Vegan I admitted to it and took heat for it. Be honest.

Here is part of the email in which Amanda Lollar of Bat World Sanctuary admits to the dead bat with one wing. It's from Kate Rugroden, "I am aware of the issue with the missing adult bat. Amanda was fully aware that she was missing, and evidently something had happened that allowed her to get lost in the sanctuary facility. As you know, crevice-dwelling bats favor small, dark places in which to roost. Having had a few escapees in my facility, I can assure you from personal experience that finding them is no simple task, and unfortunately we are not always able to find them before it's too late." How can Lollar deny that one of her bats with one wing was found dead under her desk? I easily saw and found the bat and handed her dead body to Amanda. The bat was directly under the only place the bat would roost. How could she not see it down there? A one winged bat is not going to go far. She was only three feet from her roosting pouch. I doubt she realized it was missing and went looking for it. She has more bats than she can properly care for, and she continues to acquire more.

When I took care of the permanent resident bats at Bat World Sanctuary I worked off a check list Amanda Lollar gave to me. I have copies of all of these checklists. I was supposed to check every bat every day as per the list. Amanda Lollar then told me to just check off 25 or so bats that were in the desk, cave roost without actually seeing the bats. Those bats could not fly so she just assumed they'd be in the desk. She doesn't check them. I believe the one-winged bat was one of the ones she automatically checks off because she obviously cannot fly. She thought because it only had one wing that it would stay in its pouch. She obviously came out and fell off the table just like the old pallid bat fell off the table into the trash. Fortunately I saw her fall. When I handed Amanda Lollar the dead one-winged bat she said "oh, she was one of my favorites." She didn't say "I've been looking for that bat for days." Perhaps that table top should not be so slippery. She should make a little railing so they can't fall off. I've had to do that for disabled animals before.

While I'm talking about the old pallid bat I'd like to clarify what Amanda Lollar said in her depo. She said that I "dragged" the old pallid bat out of her roost. I asked if she had any witnesses. She said no. Then I asked "how do you know I dragged it out?" She said that bat would not have come out and sat near the edge of the desk. Really? How come there is a photo of this exact bat sitting in the same spot in her own website? She has video of bats coming out of their pouch and begging for worms on the table. The bat knew I had food and wanted some so she came out. I did not drag her out. I'm sure this is probably how the one-winged bat ended up under the desk. She came out for food and fell off the table onto the floor. She only had one wing so she couldn't climb back up like two-winged bats can do. She sat down there until she died of dehydration and hunger. Her body was all sunken in.

Yesterday Bat World Sanctuary started saying they will be rescuing 100,000 bats. It sounds like she's talking about the bats in the Baker Hotel. In her depo she said she's going to work with the City with those bats but she hasn't spoken with the hotel yet. She thinks they are really going to reopen that hotel? As a real estate person I don't seem them reopening the Baker Hotel. It needs a ton of money to restore and maintain. The bats and years of neglect have really destroyed the place. I don't see an investor wanting to dump a ton of money into it in this economy when they can't make much money off of it. Mineral Wells is a tiny half boarded up town. I think Amanda Lollar is just spinning tales again to beg for money.

November 15, 2011: Amanda Lollar of Bat World Sanctuary just released her winter 2011 "magazine." Here it is, a large pdf file. As usual she spins fanciful fiction. Her story about the rabid bats in Moorpark is a fairy tale. She didn't work with the City, County to solve the problem. She threatened and harassed them until they refused her calls. I actually went and offered my help. It's in the media. Amanda Lollar doesn't even live in California. Her friend Dmytryk lives in Northern California, at least 750 miles away. Amanda Lollar also attacked the homeowner. I spoke with the homeowner on the property. Lollar harassed them so much they wanted to kill all the bats. They said so to my face. If anything, Lollar's intervention harmed the bats. I have a feeling the rest of the articles are also fiction. Note, Lollar copied this "magazine" idea from BCI. The layout is even identical. Lollar is so desperate for the public to take her seriously as a "bat expert." When she didn't go past the tenth grade, didn't go to college, has no training, that is very difficult.

November 12, 2011: Just as I thought the ebay bidding on the book marks was not real. She relisted the item at $10 and it didn't sell. She just relisted it again at $10 and no bids. It just sold for $10 with one bid.

I noticed that she bought an item for a Honda Element, her new car. It is made for a 2009-2011 model. She may have bought a new car or one just two years old. She most likely bought the car with the money she got when Bonnie Bradshaw closed down her rehab group. This money was supposed to go for animal rehab, not a car.

In the depo Amanda Lollar of Bat World Sanctuary named her board of directors. She refused to give me this information in discovery. They are personally liable for Amanda Lollar and Bat World Sanctuary's actions. Their personal assets, communal assets and spouse's assets, businesses can be attached. Here are their names: Michelle McCaulley-Secretary, Dottie Hyatt-Vice President, Amanda Lollar-President, Denise Tomlinson-Treasurer, Kate Rugroden-Director of Special Projects. I will now do an asset search on these people and their spouses, businesses.

November 10, 2011: I just watched more of the video while burning DVD copies for plaintiffs. I seem to have an uncanny ability to put people to sleep. I won't take offense. Perhaps Randy Turner attorney, lawyer in Fort Worth, Hurst, Texas was just resting his eyes while leaning back in his chair with his arms crossed. I'll post some stills in a bit. I'm having difficulty getting stills from my PC Windows notebook to my iMac so I'm going to get them off the DVD. UPDATE: Here are the stills. First pic below is Randy Turner attorney, lawyer in Fort Worth, Hurst, Texas resting his eyes. Second pic is of him texting, emailing, whatever on his cell phone during his client's deposition. He did this many times. I will post the video as soon as I can. I can't hear audio on the PC DVDs I made on my iMac. He's doing this case pro bono but that doesn't mean he doesn't have to do a good job. The stills below are from the very beginning of the depo. He should have been awake.

Randy Turner, Randall Turner, Bailey & Galyen, Bailey & Galyen, Fort Worth, Texas, attorney, lawyer, taking a nap, sleeping, during his clients deposition, tarrant county bar association, state bar of texas, hurst

Randy Turner, Randall Turner, Bailey & Galyen, Bailey & Galyen, Fort Worth, hurst, Texas, attorney, lawyer texting, emailing on his cell phone during his clients deposition

November 9, 2011: I just reviewed some of the video I shot of the depo. For the first hour I didn't have my video centered properly. You don't see all of Lollar but you can clearly hear everyone which is all that matters. Then my indy video guy adjusted my personal camera and you can see Lollar better. In the depo Amanda Lollar's attorney Randy Turner of Bailey & Galyen is either reading his email on his phone, texting, surfing the web, yawning or staring at me. He was barely paying attention, didn't even look at the exhibits. Seems I was almost putting him to sleep. This is obviously on the video. I barely looked at him during the depo so I didn't see it. I was looking at Lollar.

I deposed Amanda Lollar of Bat World Sanctuary yesterday. It was very interesting and kind of sad. I believe Lollar is living in a completely different reality than the rest of us. At the end of the depo when I was questioning her "expert" abilities and surgical "methods" she seemed to lose it. She went on a rant and would not stop talking. She was talking over me to the point the court reporter had to say something. I ended the depo shortly after that reserving the right to depose her again because she refused to answer questions.

She answered many questions with "I don't remember" and "I don't recall" when I'm sure she knew the answer. She basically refused to answer. She perjured herself so many times. I'm starting to make a list with proof. She contradicted what she said in previous court hearings and even just earlier in the depo. I had the hearing minutes with me to compare. Her attorney Fort Worth, Texas lawyer Randy Turner made some objections to which he was not entitled. Under Texas Rules of Civil Procedure he can only object to the form of the question which he did on occasion. He instructed his client not to answer questions about her net worth, assets, the Talking Talons lawsuit and a few other things which are discoverable. He claimed they were "invasion of privacy," "confidential," and "privileged" when they were not. I did not ask any questions which would have been "privileged." In order to protect his client from answering those questions he would have had to file a protective order before the depo which he did not do. I know that because I had to do that to protect my home address. I gave Turner every other item they requested. I answered every question. My lawyer only objected once in my depo. Lollar stated all of my photos and videos showed "proprietary" data. In some photos you see a small blurred piece of what she calls a "bat hut." A tiny blurred piece of nylon mesh is "proprietary?" She obviously does not understand the meaning of the word even though I read the definition aloud to her. Privileged data is a trade secret which someone wishes to keep confidential. If you post a photo, write about it in a how to book, show video of your "proprietary data," it is no longer "proprietary." Her Randy Turner attorney, lawyer in Fort Worth, Hurst, Texas doesn't even care that she's making a fool of herself.

She said she never recommended gluing bones in her 1994 manual. I asked for a copy of it and she said she didn't have one. She got upset when I asked her about when she recommended freezing bats to death even though it's inhumane. If she'd gone to veterinary school, she would have realized it is not only inhumane but illegal to freeze bats to death. She kept saying "it doesn't say it's illegal for me to perform surgery." It's illegal for a non-veterinarian to diagnose, prescribe or perform surgery on animals according to the Texas Veterinary Act.§801.251. LICENSE REQUIRED FOR PRACTICE OF VETERINARY MEDICINE. A person may not practice, or offer or attempt to practice, veterinary medicine unless the person holds a license to practice veterinary medicine issued under this chapter." It's clear as day that she cannot perform "veterinary services." Her USDA and TPWD permits all state she must "provide proper veterinary care." "Proper veterinary care" is care by a licensed veterinarian. I spoke with TPWD and USDA. They both said she is not allowed to perform surgery on bats. Her attorney Randy Turner of Fort Worth, Texas Bailey & Galyen did not seem to care that his client admitted to breaking the law. *** Surreal.

Anyone notice how bizarre it is for a supposed animal and animal rights attorney such as Randy Turner attorney, lawyer in Fort Worth, Hurst, Texas to be aiding and abetting a woman breaking the law and committing animal cruelty and neglect? He just sat there non-pulsed while she proudly admitted to committing animal cruelty. He should have at least kicked her under the table to tell her to STFU. She even admitted that she is still doing it. She admitted that her vet doesn't charge her. Then why not take the animal to the vet? She doesn't have to do surgery on them. She wants to. She happily allowed me to videotape her doing the botched episio. She proudly tried to suture a bat while I took photos.

I am seriously doubting whether or not Randy Turner attorney, lawyer in Fort Worth, Hurst, Texas is really an "animal" person. Some have said he is catering to the animal issue to get votes to become Judge. I've seen many people do this. When he asked me about animals in my depo he didn't seem to get the animal thing. He said to me "how do you get rid of your animals?" when he meant "what do I do with them when they are ready to go back to the wild." He got a lot of animal terms wrong. He also eats meat and wears leather. No self-respecting animal lawyer in LA would ever eat meat or wear leather. Plus, I saw video of him walking his dog. It doesn't look like he ever walks his dog or even understands dogs. I also don't see that many pics of him holding animals. From his resume, "He has worked as a volunteer in (snip) black rhino conservation in Zimbabwe." Black rhinos are extinct. Perhaps he should update his resume.

I'm going to review the video to get some things word for word. Here are a few interesting things. Lollar did not go past the 10th grade of school. She was a "dental technician" but never went to school for that or got certified. Bat World Sanctuary pays her $1,500/mo to rent the rehab building from her. She pays $900/mo for the mortgage on that building. She pays $150/mo for a life insurance policy on herself. Benefits will go to Bat World Sanctuary. She said she lives off the remainder which would be $450/mo which she said is for food. Something is funny with these numbers. Her husband's only contribution to anything is giving $250/mo to BWS. She just bought a new Honda Element. She may have paid for this with the money she got from Bonnie's group closing. They gave Lollar at least $10,000 and maybe up to $14,000 according to the grape vine. At the last hearing she said Bat World would have had to close if it were not for a recent donation. If they are that close to the bone, why buy a new car? Lollar stated that she wrote every word in her current book. She removed what Barbara French wrote which is why she didn't give her credit (Play theme song to Twilight Zone TV series). I bet 95% of "her" book is copy/paste from the previous French/Lollar book besides other sources. Her husband Larry "designed" the "bat castle." They don't even have exact dimensions for it let alone a blue print. They are violating the contest rules because they cannot build this castle within nine months. The land which they said was donated for the "artificial cave" was never donated. "Someone" will just let them use their land but they won't say where it is or who is "donating" it. Lollar does indeed have the human post-exposure rabies vaccination at Bat World. She believes it's legal for her to have it. She also believes it's legal for her to perform surgery on bats. She said she doesn't have a nebulizer to administer anesthesia because "it's expensive." She doesn't monitor heart rate or breathing because bats are "too small" to monitor. My vet has no problem monitoring mice when he performs surgery on them. Her vet works for her for free and so keeps no records. She really set her vet up for having his license yanked. She said she gets all her drugs from him. He gives her the Iso besides dex. He was on vacation when she performed the episio even though she didn't even call him. This is the fifth version of the episio story. In the end she was talking about bats under a refrigerator then she accused me of taking the old pallid bat out of her roost, really crazy accusations. She changed her story about when/where I supposedly signed her contract. In the hearing it was in the bedroom. Now it was in her office. She thinks I was only there six days now when I have physical proof (time/date stamps on photos/videos, witness statement) that I was there ten days. She has absolutely no credibility. She now denies that I found a dead bat with one wing under her desk. She had no problem admitting this in email. More later. I need to write some legal documents and file a few things.

November 6, 2011: Amanda Lollar is now advertising and asking for donations and fundraising as Bat World Sanctuary Inc. Oddly enough that is not listed as an IRS approved 501 3c. Only "Bat World Sanctuary" is an approved 501 3c. Is she thinking of moving Bat World Sanctuary assets to Bat World Sanctuary Inc?

November 5, 2011: Amanda Lollar of Bat World Sanctuary is auctioning off Bat World book marks supposedly signed by Betty White. If only White knew what Bat World was really about. Anyway there are two Ebay "users" bidding on the item. They have been running up the bid. They have 0% positive feedback and have only been involved in 2-3 transactions. Sounds like "someone" is trying to run up the bidding. It's at $102 but the real bidding stopped at $30. Ebay auction.I bet Lollar will say that the final bidder didn't pay so the runner up must buy it at $30. Real bidders do not bid like this. I've sold many items on Ebay so I should know. A real bidder waits until the last two minutes then bids hoping the other person is not around to bid.

Results of November 4, 2011 10:30 a.m. hearing of four motions. Judge Bonnie Sudderth presiding 352nd District Court of Tarrant County, Texas.

I will post the minutes when I get them. This is from my notes and memory so it may not be word for word.

1. Plaintiff's motion for protective order on depo video.

Randy Turner attorney, lawyer in Fort Worth, Hurst, Texas said he feared that I would amplify the audio so I could hear Lollar whispering to him. This is the first time I've heard this claim. He doesn't mention this in his motion. He doesn't want to give me the video because his client said "we have a human rabies booster at bat world if someone gets bitten." This is of course extremely illegal. After she said this Randy Turner attorney, lawyer in Fort Worth, Hurst, Texas said this in the minutes "Don't they have a booster at Bat World, a vaccine that you can take if you get bitten?" I said "that would be illegal." He asked again "So bat world didn't have a vaccination booster there at the premises on hand?" I said "that would be really highly illegal." Randy Turner attorney, lawyer in Fort Worth, Hurst, Texas claims this is privileged conversation because she "whispered." She did not whisper. As per case law if it is audible, it is not privileged. It is admissible. My lawyer heard this. We spoke about this after the hearing. I told him I would turn Lollar into the health dept again as soon as I got the minutes. Judge Bonnie Sudderth stated that if it was audible, it is not privileged and is admissible. This is page 159 in the minutes or 65% through the six hour depo or approximately 3.9 hours into the depo video. Plus, I have this in writing from an intern who claimed she received this booster at Bat World. I just looked at some of the videos Lollar loaded to YouTube. She edited the sound. She deleted the names of two people one being Councilwoman Janice Hahn. She knows how to edit sound. I bet she will edit the videos before giving them to the judge.

Judge Bonnie Sudderth told attorney Randy Turner to give both videos to her from both cameras. Judge Bonnie Sudderth is going to watch all six hours of testimony. I feel bad she is going to have to watch six hours of primarily boring testimony. It would make sense if Judge Bonnie Sudderth just went to hour 3.8 and started from there. Judge Bonnie Sudderth said if it was whispered, it is privileged and should be deleted from the video so I can't amplify it. If it was audible (how else could I hear it?), it is admissible and I can have the videos as is. I hope they don't edit the video sound. I saved copies of their posted videos to compare. Randy Turner attorney, lawyer in Fort Worth, Hurst, Texas also said that some video is missing. How very convenient. This is why I ordered a professional videographer for Lollar's deposition. Lollar just used one regular video camera and a low quality helmet cam that probably belongs to her husband.

Page 71 the court reporter wrote what Lollar said in the depo. He recorded this conservation between Randy Turner attorney, lawyer in Fort Worth, Hurst, Texas and Lollar but not the others. Why not? Turner asked Lollar which exhibit they were on and she replied.

Lollar commented about training Cindy and Dick page 233 in the depo. I said "Cynthia Myers and Dick, the bat guy from Ramona, they trained me for half a day." Lollar then said paraphrased "I trained Dick and Cindy" not in the minutes but loud and clear in the depo. Randy Turner attorney, lawyer in Fort Worth, Hurst, Texas then said "Would that be the same Dick and Cindy who were trained by Amanda Lollar?" She stopped writing questions and comments on paper and was just talking to Randy Turner attorney, lawyer in Fort Worth, Hurst, Texas . Randy Turner attorney, lawyer in Fort Worth, Hurst, Texas should have told her to zip it. She is not allowed to talk in the depo. Judge Bonnie Sudderth will mail us her ruling after a few weeks.

2. Plaintiff's motion to amend temporary injunction.

I summarized my written response to amend the injunction. I told Judge Bonnie Sudderth I didn't post those items, I didn't write them, I don't control all those websites, I can't delete them, what I posted in my site/FB page is the truth and therefore not defamatory, most items in my site are results of info act requests, are public documents, legal filings, items written by others which are protected freedom of speech.

Judge Bonnie Sudderth is going to read an inch thick stack of supposed documents from the URLs which Randy Turner attorney, lawyer in Fort Worth, Hurst, Texas wants removed. I just went through the stack. These items are not from the URLs list! Randy Turner attorney, lawyer in Fort Worth, Hurst, Texas lied to Judge Bonnie Sudderth or just recklessly believed his client and repeated what she said. There are other documents in here. Plus, it looks like Amanda included such items as current pages from my FB wall. Here is one, "I asked her to remove the libel twice but she refused. I waited months before I filed." This is the absolute truth and therefore not defamatory. She again offers no proof that what I posted is not the truth. She can't just "say" something is defamatory. She also forgot to print out the headers from the web page. This is inadmissible. She needs an IT expert to print out and submit these exhibits.

Amanda Lollar got on the stand to state that what I said was defamatory and has caused her financial damage. Again, crocodile tears. I'm pretty sure she had more income this year than last year. She just got $14K from Bonnie Bradshaw's rehab center that closed. She's making money off wine, credit cards, a "bat castle," posters, incubators…. through her FB page. Lollar stated on the stand paraphrased "Cummins said I took out the molars of a conscious bat without pain relief." She said it was defamatory. What I said is the truth. I offered to show Judge Bonnie Sudderth the video which I brought but she said it must be in a format that can be submitted, no iPhone video. I'll bring my laptop next time. *** Lollar offered no proof that the bat had pain relief. She can't just say something is untrue. She must prove it. On the stand she said in her book she said she gave it metacam. Page 129 of her book said she only gave it cetacaine, a topical skin anesthetic. No mention of metacam. That won't help when you are yanking out molars by the roots. I have the full video. It says she only gave cetacaine. This woman has no problem saying huge lies that I can easily prove with her own words and video. Shameless.

Attorney Randy Turner stated in court that I use robots to post items, influence google search. This is untrue, libelous and impossible. You can't use robots on google search. They have captcha and can tell if you're a robot. I can't post content with robots for the same reason. If robots could post items, the Internet would be 99.99999999% robot posted spam. All those sites use captcha. Randy Turner's client knows this as she has posted to those sites. She has to solve a math question or type a text image to post items. Robots can't do that. He should ask his friends at Reputation Defender. They will tell him the same. I just don't know if Randy Turner attorney, lawyer in Fort Worth, Hurst, Texas is intentionally lying or just clueless or perhaps both.

Attorney Randy Turner also said that I reposted old items I was not allowed to re-post. I did not. Everything on my website is new, related to the lawsuit, filings or info act request results. I started this website after the first injunction. It is in response to the libel Amanda Lollar of Bat World Sanctuary posted about me.

Attorney Randy Turner stated in court that he wanted an injunction to get the URLs removed. He did not necessarily want one ordering me to personally remove the URLs. This is ludicrous! The judge cannot order URLs belonging to others to be removed based on plaintiff's case against me. I'm amazed Randy Turner attorney, lawyer in Fort Worth, Hurst, Texas asked for this. He asked me if I wrote what was on the URLs I don't control. I said "no." Then he said paraphrased "well, what's written on those URLs is similar to what you wrote." This gives him no right to remove other people's posts, words and web pages. Talk about stretching.

Judge Bonnie Sudderth did not rule on this item today. She is going to read all the exhibits then rule by mail. She did say she would not force me to remove items I do not control. Judge Bonnie Sudderth is a lot more aware and fair than substitute Judge William Brigham. He either doesn't understand the internet, he dislikes pro se or he did a favor for Randy Turner attorney, lawyer in Fort Worth, Hurst, Texas . Randy Turner attorney, lawyer in Fort Worth, Hurst, Texas walked up behind me before the May 4, 2011 injunction hearing and stated to Lollar that he has known Judge William Brigham for a long time and he'll rule on his side. Obviously Randy Turner attorney, lawyer in Fort Worth, Hurst, Texas said this behind me intentionally. He had to walk to the defendants side of the court to say this behind me. Unethical. Randy Turner of Bailey & Galyen Forth Worth, Texas attorney is one of the most unethical lawyers I have ever had to deal with and I've dealt with a lot of lawyers.

3. Plaintiff's motion to compel discovery.

I gave Plaintiffs all discovery requested except home address. I am positive Attorney Randy Turner would give my home address to Lollar who would give it to everyone and post it all over the internet to harass me. I presented evidence of past and current threats to my physical safety. Attorney Randy Turner said he needed my home address so he could research lawsuits, possible criminal records and assets. Nothing is connected to this home address. No mail comes here. Nothing is registered here. Attorney Randy Turner knows I have no criminal record at all. Attorney Randy Turner doesn't need my home address. He can research all those items without this address. Everything is connected to my mailing address only. He wants it for harassment purposes only just like he filed the motion for contempt for harassment purposes only. I know that Dmytryk would end up trespassing onto my property. Judge Bonnie Sudderth ruled that I must turn over home address under seal to Turner only. He cannot give it to anyone else. Turner would definitely give the address to everyone. If he didn't give the address to others, he would give info related to the address such as my landlord, accessor's parcel number, legal description of property...which can be Googled then I can be easily found. I don't have a copy of this order yet. The judge needs to write it.

4. Defendant's motion to compel discovery production.

I asked for the true identities of Bat World Sanctuary, net worth of Amanda Lollar and Bat World Sanctuary and the deposition videos. Judge Bonnie Sudderth asked if there was a counter claim in this case. I have not countersued though I am thinking about it. I actually wrote one three months ago. I did request legal fees and all costs in my answer. We shall see if she allows me to have net worth. I do need to know the identity(ties) of BWS and I need the videos. Judge Bonnie Sudderth will rule on this later after she reviews the documents.

Final hearing results. Judge Bonnie Sudderth will rule that I must turn over my home address under seal to Turner only. She did not rule on any of the other items. She must review videos and documents first so it will probably be weeks. I'm sure it'll be after Thanksgiving at least. Overall I felt that I was treated kindly and fairly by Judge Bonnie Sudderth. Of course I have yet to see the orders.

It looked like she had a bad cold or the flu on the stand. I felt bad she had to deal with this messy confrontational case when she obviously didn't feel well. I feel guilty to admit that I'm glad she didn't stay home sick. I would have lost every motion had Judge William Brigham been there. He dislikes pro se parties and has no problem letting them know this. He also doesn't understand the Internet and is a friend of Fort Worth, Texas attorney Randy Turner.

November 1, 2011: Amanda Lollar, Bat World Sanctuary have a new "project." This one is called a "bat castle." It reminds me of the "artificial bat cave" and the "assurance colony," i.e. projects whose main goal is to raise money for daily expenses, not to actually accomplish the project. Here is the Bat Castle. I can't help but notice all the spelling, typographical and grammatical errors. The location is not Bat World or the Wild Sanctuary. I wonder who owns this property. I highly doubt Mineral Wells wants another bat colony in the heart of downtown. The bats already have a ton of habitat in that city in the Baker Hotel and all those other vacant buildings. Mineral Wells is a half boarded up run down town. I doubt Building and Safety, Health Department, Mayor of Mineral Wells would ever approve of this.

October 27, 2011: "Private conferences between the witness and the witness's attorney during the actual taking of the deposition are improper except for the purpose of determining whether a privilege should be asserted. Private conferences may be held, however, during agreed recesses and adjournments. If the lawyers and witnesses do not comply with this rule, the court may allow in evidence at trial statements, objections, discussions, and other occurrences during the oral deposition that reflect upon the credibility of the witness or the testimony." Amanda Lollar of Bat World Sanctuary should not have been talking to her Fort Worth, Texas attorney Randy Turner during the deposition. She should have written notes to him instead. Her attorney Randy Turner should have told her to be quiet. What she said during the deposition inre human rabies vaccination booster is now admissible. Oddly enough in Randy Turner 's second amended complaint he states that I said she had a human rabies booster when that is supposedly "not true." Another reason why he doesn't want to turn over the videotape. He also asked questions merely for harassment purposes which is against Texas Rules of Civil Procedure.

This is at least the twelfth major mistake that Amanda Lollar's attorney Randy Turner has made. Mistake 1, not realizing that I hadn't answered his complaint within 21 days. I answered six months late. He could have easily won by default. Mistake 2, okay, this one was intentional. He didn't post a bond for the injunction. Why would he want to waste another $500? Mistake 3, he didn't object to discovery within the 30 day time limit. Now he can't object. Mistake 4, believing his client without checking out any evidence. This just makes him look foolish just like his other client Woods. I had permission to take, post video. I posted almost all videos, photos before I left. Mistake 5, allowing his client to post libel and defamation per se about me. He was cc'd on the emails to government agencies. He received two cease and desists yet did nothing. Open and shut defamation lawsuit win for me. Mistake 6, not using a licensed court reporter/videographer. Video may be inadmissible as evidence to the court. Mistake 7, allowing his client to take/post video from the depo. It is obvious he asked certain questions for harassment purposes only. He can be sanctioned. It also shows his court reporter did not record what was said. Mistake 8, filing a motion for contempt on the injunction knowing his injunction was void. That was for harassment purposes only. He could be sanctioned. Mistake 9, not telling his client to zip it during the depo. Now that comment she made about human rabies vaccine booster is admissible. Mistake 10, not researching the legality of performing surgery on captive wildlife before saying it was legal in court. It's not legal for a non-vet to perform surgery. Lollar's vet was available and only five blocks away when she did the episio. Mistake 11, not researching "drop anesthesia" method before saying that is what his client does. It's inhumane, illegal and kills animals. Who would admit to that? Mistake 12, aiding and abetting Amanda Lollar's activity. Someone is going to get rabies at Bat World. I knew Woods' dog would attack again. These are irresponsible people. I'll post more mistakes tomorrow. Lollar could have won this case December 2010 had her attorney not been asleep at the wheel.

Just because Turner is not getting paid doesn't mean he doesn't have to do his job properly. His client could sue him for malpractice. Spelling, typographical, grammatical and other errors in his documents. Here's but one example. Randy Turner wrote my zip as "9005" when it is "90015." He misspelled my name as "May" instead of "Mary." He wrote "Mrs." instead of "Ms." He wrote my suite number as "140a" instead of "140." After he made these mistakes originally I corrected them for him. He mailed me a new depo request and didn't fix any of the mistakes in this letter. He just changed the date. Sloppy, lazy, legal work. Missing deadlines. Not watching the calendar. Forgetting exhibits. Not paying for a professional videographer. Not paying to post a bond. Not researching legal items before spouting off in a depo or hearing on the record. Not minding his client in a depo. I know, I should talk, but I'm not a lawyer.

October 25, 2011: Randy Turner Fort Worth, Texas attorney with Bailey & Galyen filed "special exceptions." I filed a response to his special exceptions here.

October 23, 2011: Bat World Sanctuary is now selling alcohol to raise funds. They stated "We were *very* fortunate to be picked as one of the non-profits to participate in this uber-cool program!" Actually any non-profit can sign up for it. On the page Lollar states "We are recognized as the world’s leader in bat care standards and cutting-edge rehabilitation treatments, and we created specific guidelines for excellence in bat education programs that are used worldwide." That is definitely not true. ***. Someone told me that Amanda Lollar thinks she's Dr. Doolittle but she's actually Dr. Moreau. There are many true well respected leaders in the field of bat rehabilitation and care. The true bat experts have graduated from high school, have years of training, veterinary licenses and even have PhD's.

October 20, 2011: Mary Cummins of Animal Advocates files a response to Plaintiffs protective order. Full response with exhibits, not that clear. Clear version without exhibits. Turner's claims about me are defamatory. I don't post false items about people to harass them. I post honest items with evidence about people who commit securities fraud or abuse animals.

October 18, 2011: Randy Turner Fort Worth, Texas attorney at Bailey & Galyen has filed a protective order in regard to the depo videos. He doesn't want to give them to me because he feels I will edit them to defame and harass people. He would keep the originals. I can't edit his originals. I've never edited videos. I've only added captions.

His client Amanda Lollar of Bat World Sanctuary is the one editing videos to defame people. Here is but one example. This is what was actually said at the depo per the minutes. In this video entitled "Big Brown Mexican free-tail bat" she makes it seem like I don't know that there are Big Brown bats and Mexican free-tail bats. You can also hear her talking but that is not in the minutes. As I view the videos posted by Plaintiff and compare what was said to what's in the minutes, there are words and even sentences missing, even things Randy Turner said are missing or incorrect. The court reporter wrote what Amanda Lollar said one time. He didn't write what she said other times. In the beginning of the depo Amanda Lollar would write questions on yellow lined paper then hand that to Randy Turner who would ask that question. Half way through the depo she stopped writing the questions and would just say them out loud to Randy Turner. I could hear her. The court reporter was to my right. He could hear them but did not write down what she said. Page 233 in the depo minutes are as follows:

Turner: What is a big brown Mexican free-tailed bat?

Me: Well, there are big brown bats and there are Mexican free-tailed bats. (That is omitted from the video. The video starts here)

Turner: What qualifies you as a bat expert?

Me: I believe I know more than the average person on the street, and I am a licensed bat wildlife rehabilitator.

Turner: What is the range of the big brown Mexcan free-tailed bats? (At this point I think he just doesn't know they are two different bats so I just answer the question thinking he means Mexican free-tailed bats)

Me: Geographical range?

Turner: Um-hum

Me: Mexico, United States.

Turner: That's all?

Me: Probably farther than that. South America. (The range of the Mexican free tail bat is indeed Mexico, US and South America)

Turner: Are you having to guess?

Me: No. (The rest is on the video. We get to the end)

Turner: What other bat training have you had?

Me: Cynthia Myers and Dick, the bat guy from Ramona, they trained me for half a day.

(Lollar then says to Turner, "I trained Dick and Cindy." That is not in the minutes but you can hear her talking to Turner in this video. Turner then repeats what she said)

Turner: Would that be the same Dick and Cindy who were trained by Amanda Lollar?

(That's the end of Lollar's video. I said after this)

Me: I believe Dick was rehabbing bats before he was trained by Amanda Lollar. Dick Wilkins. (Dick and Cindy were both rehabbing bats before being trained by Lollar. I rehabbed bats before I went to Bat World.)

Turner: Ms. Cummins, did you know that there's no such thing as a big brown Mexican free-tailed bat --

Me: I said earlier, there's a big brown bat and there's a Mexican free-tailed bat. (That is not on the video. She wanted to make it seem that I didn't know the difference. Now watch the very unflattering video below. To Turner, I have embedded your client's video. I did not upload it to my website.)

October 17, 2011: The stay on my case is lifted so I filed a few documents pro se early this morning. They are as follows:

Motion to compel the production of discovery items, deposition videos and for sanctions

Defendant's response to Plaintiff's motion to amend injunction. The exhibits aren't in this file because they were too big. They are linked on this page

Defendant's answer to Plaintiff's second amended petition

I'm writing more docs now which I will post as soon as they are filed.

October 14, 2011: Was reading through Amanda Lollar, Bat World Sanctuary's old legal filings. In one filing she admits that she vaccinates bats. She claimed that the way she vaccinates bats for rabies is "proprietary." Kind of tough to deny this now and say she only injects water into them.

In Texas it is a crime if you do not report a felony act. "The Texas Legislature criminalized failure to report a felony in 2003 but also required that the accused actually observe the commission of a felony. See TEX. PEN. CODE ' 38.171. Link to law

What is considered animal cruelty in Texas? According to this article, this is the definition of animal cruelty in Texas.

"Compared to the criminal cruelty statutes of other states, Texas animal cruelty laws are very narrow in their scope. Generally, state criminal cruelty laws are written to protect “every living dumb creature” or “every living vertebrate, except humans.” In a handful of states, the laws do exclude certain types of animals from the applicability of cruelty laws, such as fish, crustaceans, or invertebrates, but these exceptions are the minority. For the most part, these state laws do not differentiate between wild or domesticated animals, and the protection afforded by these laws would cover both types of animals.

However, Texas criminal cruelty laws are surprisingly narrow and only apply to any “domesticated living creature or any wild living creature previously captured.” What this means is that criminal cruelty laws protect livestock and animals that are in custody, like everyday household pets." Therefore any wild living creature previously captured would be covered under current Texas animal cruelty laws such as bats in a rehab environment.

What is felony animal cruelty? "For cruelty offenses involving the torture, killing, seriously injuring, poisoning, fighting, or tripping of an animal, a state jail felony may be imposed on the first conviction." Seriously injuring or killing a previously captured bat would be felony animal cruelty in Texas. It does not have to be intentional. I had a duty to report Amanda Lollar and Bat World Sanctuary. The reporting is therefore privileged.

October 6, 2011: Just got back from a hearing in Texas. I asked the judge to let my lawyer Neal Callaway remain as my lawyer for a week until I could get a new one. I told her I had to be represented by a lawyer or Randy Turner Fort Worth, Texas attorney would take advantage of the situation and file more motions, schedule more hearings. In fact he gave me more papers while I was there. Judge Bonnie Sudderth put a stay on the case for a little over a week. Randy Turner Fort Worth, Texas attorney cannot file motions or set hearings for a week while I get a new lawyer. Exactly what I needed. This is the speech I wrote for the hearing. I didn't realize she could stay the case or I would have asked for that instead.

Here is what Judge Bonnie Sudderth said in court. So far she's been a very fair judge. It's not in the order but it's in the minutes here. I just received the minutes. What I said is very similar to my written speech so I won't post the actual minutes. The formatting keeps falling apart on me and I'd have to type it all out by hand. I've since spoken with a few attorneys. They said Judge Bonnie Sudderth is indeed a fair judge who is kind and rules fairly with pro se plaintiffs/defendants. I will do my best to present my case and documents to the best of my ability until I get a new lawyer.

After reading Fort Worth, Texas attorney Randy Turner 's emails yesterday I'm now pretty sure that he was partially responsible for my lawyer writing his last motion. Turner told my attorney that he should withdraw. I also believe the Tarrant County Bar Association is partially to blame. They told my lawyer Neal Callaway that I made a complaint about him. I never filed a complaint against my attorney and specifically said in writing that I'm not making a complaint. I will never get a lawyer referral from a bar association ever again. I'd be better off pro se. I just realized that Randy Turner's wife is a Director of the Tarrant County Bar Association. I would have never contacted them for a referral had I known that.

Randy Turner Fort Worth, Texas attorney handed me a motion to amend the injunction. He now wants me to remove this page and many other pages which I don't control. He even asked to have two Indymedia articles written about him removed. The articles are about him, not Amanda Lollar or Bat World. He knows Indymedia won't remove them. The pages here which he wants removed are FOIA and State Info act responses. He wants public documents from governmental agencies removed. These are complaints which others have made to government agencies over the years against Amanda Lollar and Bat World. Trying to hide the truth about Bat World. I didn't write any of those items. Most of the complaints were made years before I even heard of Bat World.

One of the discovery items I gave to Randy Turner Fort Worth, Texas attorney was a post by another intern saying she got a rabies booster shot. This is from Sarah Kennedy who lives in New York, posted August 21, 2010. "I also received shots including a cautionary booster on my last day with the bats." Earlier Sarah said she was trying to raise money to get the shots but wasn't able to raise the money. Oddly enough Lollar gave rabies vaccination cards to the health dept. Sarah's card was not included. Did she even receive pre-exposure shots?Did employee Janette have her pre-exposure shots? I doubt it because the three shots are $300 each, almost $1,000. She would have needed the shots at least a month before she handled the bats. I don't believe that happened. ***She didn't check mine which I lost two years ago.

In the depo Amanda Lollar said she has a rabies booster shot at Bat World. That is not in the minutes but is in the video. Randy Turner Fort Worth, Texas attorney said this from the minutes after Lollar said that to him and me "Don't they have a booster at Bat World, a vaccine that you can take if you get bitten?" I said "that would be illegal." He asked again "So bat world didn't have a vaccination booster there at the premises on hand?" I said "that would be really highly illegal." Randy Turner Fort Worth, Texas attorney, Lollar have since realized how illegal it would be for her to have a human rabies vaccine on the premises. Lollar already perjured herself by saying she has no animal rabies vaccines and doesn't give animal rabies vaccinations even though her website, book, Yahoo group, statements, videos, others say that she does.

A note about why only doctors, nurses and medical practitioners can have and give rabies vaccinations. You must use the right type of vaccine, i.e. human vs animal, killed virus vs modified live. You must give the right amount for the animal based on species, age, weight, condition... The dosages vary widely. You must give the shot in the right place. Rabies shots should be given intra muscular. Lollar gives them subq with fluids. If a human is bitten in the foot, they give a post exposure shot above the foot then a few in the shoulder and other areas. Rabies travels up to the brain via the nervous system. If you don't give the proper vaccine in the proper manner you can GIVE the person, animal rabies and they will die. You could cause a rabies epidemic. Dog pups get vaccinated at 12 weeks of age or older. Lollar vaccinates newborn bat pups. CDC states that babies will not respond to the vaccination. It makes you wonder if the rabid dead and dying bats found in Mineral Wells were really the result of Lollar giving the rabies vaccinations improperly. Also if you give a human a post exposure booster, you must give three shots if they didn't have pre-exposure shots or two if they did.

I think I saw animal rights attorney Donald Feare in the audience today. He is the one who sent a threatening letter to the City of Mineral Wells when a rabid baby bat bit a toddler in the face directly next door to Amanda Lollar's wild sanctuary. Lawyers bullying people and cities to protect someone who's actions are a threat to public safety.

October 2, 2011: I just realized that if Fort Worth Attorney Randy Turner had given me the depo videos in a timely manner there would have been no doubt about what happened or didn't happen. I got the 242 pages of typed out minutes within two weeks. It only takes an hour max to burn a copy of the videos to dvd. It only took Amanda Lollar three days to make a bunch of movies of the depo and load them to YouTube. It's been five weeks already. My lawyer asked for the videos at the end of the meeting. Randy Turner Fort Worth, Texas attorney said he would give them to him but didn't.

Amanda Lollar of Bat World Sanctuary posted my lawyer Neal Callaway's check online. I've since activated the link again as she finally took out his account info. She did not black out his account or routing numbers thereby exposing him to possible theft. That was a mean thing to do to Neal Callaway. Fortunately she finally removed it after I sent an email to her and her lawyer Randy Turner Fort Worth, Texas attorney. Just found out she removed it because my lawyer Neal Callaway sent an email to her lawyer ordering him to remove it. This is why I didn't want to write my own check. I just didn't think she'd stoop low enough to post my lawyer Neal Callaway's check. This is why I know for sure she'd instantly post my address online and send it directly to my stalkers.

Randy Turner Fort Worth, Texas attorney just started a few more web sites New site 1 New site 2 New site 3. Looks like, though I'm not positive, he's trying to bury other web pages about himself with the help of Reputation Defender. I think he bought the business package which would run $5,000. They make new domains with your name and main keyword in the domain name, i.e. "Randy Turner Attorney." Reputation Defender has been visiting my site in the last two months according to my logs. One page says "Most recently, Mr. Turner served as Managing Attorney in the Office of the County Attorney for Fulton County, Georgia (Georgia’s largest county government), where he worked closely with members of the elected Board of Commissioners and other top County officials on complex matters of taxation, finance, economic development and purchasing, as well as state and local legislation." Is he licensed in Georgia? What does he know about finance and economic development? Why does it say he's in Menlo Park, California? It also says he's been practicing law since 1990. That doesn't sound right. That's why I think RD is making these sites. Randy Turner Fort Worth, Texas attorney knows how long he's practiced. If only he'd not threatened to sue Indymedia or pissed off the anti-pitbull people he wouldn't have to try to bury anything. In fact if he didn't sue me he would have never threatened to sue Indymedia and received the rejection letter from the ACLU-NC which woke up the pitbull haters.

Reputation Defender has a history. One should Google it. The pages one wants buried will not be buried because they are older, are on a high ranked website, are linked everywhere and get a lot of traffic. RD will then tell you, you just need to give them more money and they will get it buried. You give more money, it is not buried, you get upset, don't give them even more money. Then RD will start working against you, lowering your rank, making the other page show up higher. They will again tell you that you need to give them more money. You do, rank goes up, you stop giving money, it goes down and they continue to milk you. One should do some Googling. This is why I did not use them.

Ever since I left Bat World I have noticed that Amanda Lollar of Bat World Sanctuary is trying to copy me. I told her my manuals were all pdfs. She then made her manual into a pdf. I told her I was going to embed video in my new pdf manuals. She then embedded videos into her manual, though they are only visible online. I told her I post lots of videos of animals on YouTube. She started posting lots more videos. At the depo I said I have ads on my videos, in my blogs and websites. Now she has ads on her videos, in her website. Oddly enough the ads are all for bat removal. She is advertising pest control companies. I doubt they exclude bats. She dislikes me yet she wants to copy what I do.

October 1, 2011: I was just notified that new posts were added to an article about Randy Turner Fort Worth, Texas attorney here. I did not make the 9/28 posts or any posts for that matter. Lollar can afford to feed her dogs and bats. As far as I know she does not personally use illegal drugs. Her family and friends haven't dumped her though she's lost volunteers and BWS members. The YouTube videos are highly edited but they are indeed video of parts of the deposition. I've never called any woman a "wh&%*." I did not make that obscene comment about Randy Turner Fort Worth, Texas attorney. I will not post on the Indy page which is why I'm posting this here. I think perhaps Lollar or a friend of hers is making those posts to make it appear to be me. Why else would they sign it with my name and group name. Reminds me of their guest book claim. That is also not my email address. I wasn't even online when these items were posted.

I will not mention or post about a supposed incident until I view all the video from the deposition. Randy Turner Fort Worth, Texas attorney is now refusing to give me all the videos. He said he fears I will edit and post them like his client has edited and posted them. What is on the videos that he doesn't want me to see? I will be posting more of the minutes instead.

September 30, 2011: Amanda Lollar, Randy Turner Fort Worth, Texas attorney, who knows just posted another Indy article, "Mary Cummins President of Animal Advocates Dumped by her own ...Mary Cummins President of Animal Advocates. by HonestyHelps. 9 minutes ago – download PDF (131.1 KB). See the following website and youtube channel for more information and Cummins' attorney's Motion to ...Friday Sep 30th 2011 1006 AM. Mary Cummings President of Animal ..." Here is the url address http://www.indybay.org/newsitems/2011/09/30/18691816.php Look where that link is pointing now? You will have to copy/paste because I can't post it because it forwards to the May 11 article. I did not make it forward. Indymedia did. You post crap about me and it will post back to the original article. Amanda Lollar is now pretending to be a blogger who dislikes her. And FTR my lawyer is still representing me for the time being.

Just received two USDA FOIA requests. Kate from Bat World made a false complaint against my permit. USDA sent her a letter telling her I was permitted and in good standing. I also see another totally false report from most likely one of my old stalkers in 2008. Again USDA reported that I was not violating the AWA. USDA even said that it was a false report by a crazy person. They even included a link to one of their crazy stalker blogs. This is why I cannot let anyone have my home address. Two of my stalkers have criminal records which include trespass and vandalism not to mention DUIs. One has a restraining order against her. These two people are within driving distance to me though one would have to trek from NoCal.

Amanda Lollar is trying to get a Texas city to put up bat houses. She said it will solve the problems of having bats in buildings. She forgets she tried this in Mineral Wells and they asked her to take the bat houses down. There were 7-8 feet of feces under the boxes that no one was cleaning up. She was forced to remove them because no one maintained or cleaned them. Here is the article about the new bat houses. Digging up the letters from the City of Mineral Wells telling her to take down bat houses. Here it is Bat houses creating a mess.

Randy Turner Fort Worth, Texas attorney or Amanda Lollar or whomever posted an article about Attorney Randy Turner to Indybay yesterday. It was of course removed. Like they want his resume and biography on their website along with his photo. Here is the link.This is the beginning of what it said, "Randy Turner Fort Worth Texas lawyer of Bailey & Galyen Indybay Deeply committed to civic involvement and community engagement attorney Randy Turner has devoted his life and legal career to public service and the welfare ..." It was a copy of a new profile he uploaded.

In the depo we were talking about Lollar putting a cotton ball soaked in Isoflurane in a cup and putting that over a bat's head as anesthesia. I stated that you must use a nebulizer with Isoflurane so you can mix it with oxygen to give the proper dosage. It says so on the box. It is illegal to use a drug contrary to the label. (Off-label use of a drug is different. That would be using a human drug for dogs.) If you don't use the nebulizer they get too much or too little. You'd also want to monitor vital signs which she does not do. When I was at Bat World the bats would either wake up or stop breathing because the Iso was not being administered properly. Attorney Randy Turner then said "have you ever heard of 'open drop' anesthesia?" I said no. I just googled this term. This is what it means. "open-drop anesthesia, the oldest and simplest anesthetic technique. It is no longer used. A volatile liquid anesthetic agent such as ether is dripped, one drop at a time, onto a porous cloth mask held over the patient's face. It is difficult to control the anesthetic depth and pollution of the OR. It is not used in modern medicine." They say that 5% of human patients who received anesthesia via this method died from the anesthesia. Not only is that not what Lollar does but people don't do this anymore because it's dangerous. I see the last time it was used was around 1930. What Lollar does is even worse. She soaks a cotton ball once, puts that in a cup, puts the cup over their head limiting their supply of oxygen which is why some stopped breathing. She gives the gas all at once, not one drop at a time. They stop breathing, she removes the cup, they wake up mid surgery, she replaces the cup, repeat. Why would she even want to say that she uses that dangerous method? Attorney Randy Turner had no problem repeating it. He basically said that his client uses an old, dangerous, inhumane method of anesthesia. Waking up or dying in surgery from anesthesia is not humane. p. 204. To think he was a biology major. Why didn't he Google the word first?

September 25, 2011: I'm going to post some items from the depo minutes. Randy Turner Fort Worth, Texas lawyer of Bailey & Galyen asked me some totally crazy off the wall questions. He again didn't ask his client for any proof of the allegations. He asked me "Did you physically choke and dress up squirrels in clothes?" Excuse me? I've never "choked" an animal in my life. If I tried to dress up a squirrel in clothes, I'd be clawed and bitten to death. There are no photos of my squirrels in clothes. I of course said "No." Randy Turner Fort Worth, Texas lawyer of Bailey & Galyen asked me something about Tiff*** K***. He said "Did you make an accusation about her brother?" I said "I didn't even know she had one." Turner, "You never accused her brother of raping you?" Me, "No!" WTH?! I never said that or even heard that before. I would think Turner would want to see proof that I said that before he asked that question. What is this question even about? p. 25

Here's another one from Randy Turner Fort Worth, Texas lawyer of Bailey & Galyen, "you hold lots of animals by the neck, don't you, ma'am." Here is the photo he showed me. This is a collage made up of my images which Rebecca Dmytryk used a photoshop filter on and posted to her libelous blog. I've never held an animal by the neck! I hold by the body and support the neck and head. There are no photos of me holding animals by the neck. If you look at the collage I'm holding their bodies and supporting their heads. Some of the animals are laying on their back in my hand, are in a sink, standing on the ground. You'd think he'd ask for proof before making himself look foolish. In all the photos he showed me I was holding the animal by the body. I will post more ridiculous questions later. Lollar has filled his head full of nonsense, just like Turner's last client Woods. Woods told Turner that his dogs weren't even in town during one incident. They were identified by multiple witnesses and the police as the same dogs. He was found guilty, twice. The dogs attacked again and were euthanized. Oddly enough at the depo Turner claimed that he saved Mimi the pitbulls life. She's dead. I'll post some more crazy questions tomorrow.

September 24, 2011: I will clarify two items from the deposition because Amanda Lollar of Bat World Sanctuary loaded up the misleading harassing videos online.

Randy Turner Fort Worth, Texas lawyer of Bailey & Galyen asked me if then Council member Janice Hahn called me a "terrorist" in a City Council meeting. I said "yes." Hahn called me, In Defense of Animals and the Directors of Animal Welfare "terrorists." That was the end of that question. Randy Turner just wanted to get me on video stating that Hahn called me a terrorist so it could be posted to harass and defame me. This is what happened instantly after Hahn made that statement. Ed Boks the then GM then told Hahn that "Mary Cummins is not a terrorist." Councilman Dennis Zine also stood up and said "I know Mary Cummins. She is not a terrorist." I was watching the meeting on my computer. The next day I went to City Council and in public comment demanded that Hahn retract her statement and apologize or I would sue her and the City for defamation and slander per se. Hahn then retracted her statement and apologized in the meeting. I have video of both events.

Randy Turner Fort Worth, Texas lawyer of Bailey & Galyen asked me if I was fired from the Dept of Animal Services December 16, 2005. I said "yes." Randy Turner again just wanted to get me on video stating that I was fired so they could load up the video to harass and defame me. I'm sure he knew I was instantly rehired. I was fired as a volunteer by then GM Guerdon Stuckey on his last day on the job after he was fired. He predated the letter firing me to the day before he was fired. He did it in retaliation for me reporting his mistakes to the Mayor which caused him to be fired. I instantly contacted the Mayor's office. They said they would rehire me. I was rehired January 3, 2006. Randy Turner asked quite a few questions like this just to make a negative video to harass and defame me. Turner did not ask the questions to get information which is supposed to be the true purpose of a deposition. He already knew the answers. This was pure harassment. I may clear up a few more of these questions later.

I just looked at the back of the minutes from the deposition. Turner has to pay the court reporter $1,045.80 for six hours, 242 pages. We haven't even gotten to the expensive part of the case yet. And for what? Not helping animals, not helping his client, not helping himself or his reputation. He's not even getting paid. Hopefully he's at least forcing Amanda Lollar of Bat World Sanctuary to pay some of the costs. Experts don't come cheap. It's also pretty expensive to fly to other states for him to depose my experts.

September 17, 2011: I was just informed that quite a few Humane Officers and Animal Control Officers have also been sued for defamation in retaliation for reporting people for animal cruelty, abuse and neglect. It's a common response from animal abusers to turn things around and try to play the victim. It is odd though that Fort Worth, Texas attorney Randy Turner of Bailey & Galyen is representing the person who did the deeds. His bio states he only represents "claimants" in "animal cruelty suits" yet here he's representing the dark side. Of course he did not know about the evidence and reports I filed before he took the case. Amanda Lollar of Bat World Sanctuary really conned him, and is still conning him.***Bats are mammals just like us. I have quite a few pics of bat placentas besides medical articles on bats giving birth. ***

September 13, 2011: I was looking at WNS research and found this disturbing item. Amanda Lollar of Bat World Sanctuary's name is on it. They collected 30 bats that had WNS, treated them for 70 days with supportive care only. 26 survived which they then KILLED just so they could check for WNS. They checked for WNS by looking at wing membranes and taking a wing tissue sample. They didn't have to kill them to check wing membranes or take a wing tissue sample. They should have released them. Unnecessary killing of research subjects. And Amanda Lollar of Bat World Sanctuary has the nerve to whine about Texas A & M studies on bats. Perhaps the only way we can save some bats from WNS is by releasing some who have survived WNS and may then be immune. Perhaps they can pass on passive immunity to their babies.

September 11, 2011: Amanda Lollar of Bat World Sanctuary is now emailing my friends. She is libeling and defaming me in the emails to try to get them to watch the crappy depo videos of me. She flat out lies in the email saying I said things which the video proves I did not say. Of course they will forward the email to me. ***

Another note on the deposition. Randy Turner Fort Worth, Texas lawyer of Bailey & Galyen asked a completely unrelated and inappropriate question about my dating life at the very end of the depo. Very unethical and unprofessional. He also threatened to search my computer to see which sites I've visited. That would run him an easy $10K and would be pointless. My browsers never save my history, cache, temp files. My computer erases and clean sweeps every time I shut down. He also threatened to come to California to depose my vets, experts and others. He would have to pay for all of this out of his own pocket. He could easily dump $35K into this case before trial when he has no case and can't collect anything.

September 3, 2011: Amanda Lollar of Bat World Sanctuary posted this on a video "Video of defendant Mary Cummins of AnimalAdvocates.us in a court ordered deposition taken on August 25, 2011. This video is copyrighted and owned by Amanda Lollar and Bat World Sanctuary. This taped deposition is a public record and may freely be shared with others. No laws are broken in recording this video as evidence for the court." Amanda Lollar of Bat World Sanctuary and her husband took these amateur videos themselves. They took the videos for harassment purposes only. They are very one sided and edited. The truth is very different than what is seen in these videos. She also added keyword "cyberstalker" to the videos. That is libel. I've never been charged with or convicted of cyberstalking anyone. Libel, defamation. She is posting these misleading videos because she is upset that there is video of her doing horrible things to bats online.

September 1, 2011: My inbox just received a Google alert for Turner. He either hired scam company Reputation Defender for $3,500 or he's trying to bury websites himself. He can do it himself for free in about an hour if he types fast. It still won't help with the Google search engine rank. Search "reputation defender" and "scam." They can't do what they say they can do. If they could, you wouldn't see the pages calling them a scam. Reputation Defender just makes a ton of profiles, blogs all over the web with slightly different bio and resume like this one. I hope Randy Turner Fort Worth, Texas lawyer of Bailey & Galyen sues Reputation Defender when he finds out they are a scam. Many people have been ripped off by them including I think the Judge in my case. I was thinking of using them but I investigated them first. Then I realized they were a scam. I found out what they actually did do and just did it myself. You can't get rid of pages you don't like that way.

August 31, 2011: Amanda Lollar of Bat World Sanctuary loaded up video from my deposition yesterday. You can watch me look like crap and state that Amanda Lollar of Bat World Sanctuary picked up rabid bats in her bare hands. You can watch me state my full name. You can listen to her attorney say he doesn't know how videos work in websites. Why would she want this on the internet when she says these words harm her? She's now posting the link and emailing it to everyone. Doesn't she realize that the same could be done when she is deposed? I wasn't thinking of putting video of her deposition online but ... She will be asked some very difficult questions and will have to give some very difficult and revealing answers about her education, finances...

August 30, 2011: Amanda Lollar of Bat World Sanctuary is posting a photo of an obese bat. It is against USDA regs to allow your animals to get fat or be exhibited fat. She free feeds all the bats which means this guy can eat as much as he likes. She should be feeding him separately so he can lose weight. I believe this may be the same bat that just lays on the floor and flaps his wings. I told Amanda Lollar of Bat World Sanctuary about this and she told me he was too fat to fly so she lets him lay on the ground and flap.

Amanda Lollar of Bat World Sanctuary claims that I am causing her financial damage. If so, why did she just take in eight more fruit bats which she must keep for life? Can she afford to do this? Can she do this? If she could not notice a one winged bat under her desk for days, how can she really care for these new bats?

August 27, 2011: I was deposed on Thursday for this case. I won't get into all of it but I will mention one question which summarizes this entire lawsuit. I was asked if I've ever handled bats without gloves. I said I'd only done that at Bat World. Randy Turner Fort Worth, Texas lawyer of Bailey & Galyen then showed me a photo of someone holding a bat without gloves. The photo was in my blog and FB page. I was asked if this was a photo of me holding a bat without gloves. Randy Turner Fort Worth, Texas lawyer of Bailey & Galyen thought he'd caught me in a lie. I'm positive Amanda Lollar of Bat World Sanctuary knew this was not my hand holding a bat. Randy Turner Fort Worth, Texas lawyer of Bailey & Galyen just believed her without thinking and probably not even looking. Below is the photo in question.

I'm sure that anyone who has ever seen me or a photo of me can instantly realize that this is not my hand. One, that hand is dark brown. I am clearly white. Two, that hand has unkept nails. Amanda Lollar of Bat World Sanctuary keeps whining that I have perfectly manicured nails. My natural nails are longer and I keep them clean, that's it. Three, that hand is much older. Four, that is someone's right hand. I am right handed. All of the photos of me holding animals are of my left hand as I use my right hand to take the photo. Five, I've never held a bat like that in my life as you can see from my photos. The person holding that bat had just taken it out of a mist net. That is the hand of a 65 year old dark Mexican woman. I was at a two day class learning about bats, bat conservation and research methods from true bat experts.

Here is a photo of my right hand and the right hand of the person holding that bat. That is CLEARLY not my hand. The photo of my right hand is on my blog, Flickr and FB pages. Turner just believed what Amanda Lollar of Bat World Sanctuary told him without looking at the evidence and thinking. He filed a lawsuit stating I had no permission to take the photos when I did. The suit also stated that I posted all the videos, photos after I left when the time/date stamp on the plaintiff's own evidence clearly shows it was before I left. This summarizes the entire lawsuit. Randy Turner Fort Worth, Texas lawyer of Bailey & Galyen filed this suit without asking for or looking at any evidence. He just blindly believed the client.

During the depo Amanda Lollar of Bat World Sanctuary stated that her "bat hut" and "bat pouch" were proprietary. Someone actually stole the design of "port-a-bug" and made a "port-a-cage." The only difference was that one side is plastic. Amanda Lollar of Bat World Sanctuary just asked that person to make all sides mesh like the original. Stealing someone's design is not "proprietary." Here is the original "port-a-bug," and the "port-a-cage" knock off and Amanda Lollar of Bat World Sanctuary's "bat hut." They are all the same design. Here is some information about what proprietary means. It's basically something which is a confidential trade secret of a business.

She also claimed that her "bat roosting pouch" is proprietary. Here is her "pouch" and a pocket oven mitt which I've used for baby animals for years. This is not proprietary. I also believe that people prefer pouches with rounded corners so babies can't crawl into the corners. I told her she should make them round so you can get the babies out easier and not accidentally leave some in as she did.

She claimed that the "V" feeding position is proprietary to her. Bat rehabbers feed some bats with their head down. They've been doing this for years. It's in the shape of a "V." If she want wants to go copyright, trademark the phrase "Bat World 'V' feeding position," she can go do that and own the name but she doesn't own the word "V" or that feeding position.

In the depo Amanda Lollar of Bat World Sanctuary tried to say that I was responsible for the deaths of four baby bats. I most certainly wasn't. She also tried to say that I hold baby animals by the neck. I have never held an animal by the neck. I hold them with my hand and then sometimes put a finger on each side of the head to hold it still so I can feed them. She also tried to say that I left unfed baby bats in a porta-a-bug over night. Those babies were fed. They all had colored ears which meant they were injured. She told me to feed the bats. When I found one that was colored, I should put it in her port-a-bug so she could examine it. I did exactly that and told her they were in there. She didn't bother to examine them and put them back in their cage. In the morning they were still there. The port-a-bug was on a heating pad. The bats were fine. She also showed a video I took of a bat I'd just fed. She told us to feed first then clean them. The bat was dirty. You could see it licking it's lips which meant it'd just eaten. Always trying to turn things around because she is the guilty party. While I was there I did see her almost dump two baby bats into the trash in front of myself and Kay. She tried to infer at that time that it was our pouch when it was her's. We'd emptied ours 20 minutes earlier.

In the depo Amanda Lollar of Bat World Sanctuary stated that she has rabies booster shots at Bat World. If she does, that is illegal. Only a nurse, doctor or health care provider may have or give a human vaccine. I'm amazed she admitted this in the depo. This is even worse than her giving rabies vaccinations to animals.

August 26, 2011: Bat World Sanctuary which was just formed in December 2010 is not in good standing with the state of Texas.

August 22, 2011: 11-679 Kate Rugroden July 25, 2011. Kate Rugroden of Bat World Sanctuary made an info act request about me, Animal Advocates to USDA. They just mailed it to her today. They will only see the same files that are available online. Since Kate is part of Bat World and is actively involved in this lawsuit and smear campaign against me she shouldn't be surprised to be named in the countersuit. At least she owns a home and her husband has a business so I can collect. She made another info act request May 13, 2011 sent June 13, 11-487 asking for all info about Amanda Lollar and Bat World Sanctuary.

Didn't Amanda Lollar of Bat World Sanctuary apply to be an approved "sanctuary?" She said they inspected her. She is still not listed on their website. Why?

August 13, 2011: Dmytryk and Lollar's ihatemany Facebook pages were both shut down for multiple terms of service violations. They also lost a few of their fake user names. These are the pages which were deleted. http://www.facebook.com/pages/Rehabilitators-Advocating-Professionalism/158236780881058, and https://www.facebook.com/pages/Animal-Advocates-and-the-truth/220335941326695. They also lost some of their fake user names such as Michael Hunt and others.

Here is written proof that they are working together. "Rebecca D. wrote: May 19, 2011 This post by Mary Cummins is in response to a lawsuit filed against her by Bat World Sanctuary and Amanda Lollar. I am friends with Amanda and support her legal battle and am therefore a target for Mary's abuse. I'd be pleased to set the record straight on the above dark and twisted claims and allegations - just drop me a line - *@* For more on the lawsuit or Mary's history of cyber attacks, please visit a blog that was set up by a former victim: http://*.blogspot.com." Rebecca forgets that she admitted in writing that, that is her blog. She also tried to extort me with that blog again in writing. What is ironic is that Dmytryk attacks rehabbers all the time. lf Amanda Lollar of Bat World Sanctuary were not suing me, Dmytryk would be reporting and attacking Amanda Lollar of Bat World Sanctuary for all of the many horrible things that she's done.

August 11, 2011: Amanda Lollar of Bat World Sanctuary shows photos of wildlife with human baby toys. She displays them in a "pet-like" manner. That is against the regulations and what wildlife rehabilitation is all about. Someone even asked about acquiring a pet bat on her page in response to the photos. Bat with stuffed animal. Bat with baby toys. She also lets anyone play with and handle the bats. l doubt the new employee received her $1,000 pre-exposure rabies vaccinations at least a month before she went to work at Bat World as ordered by the Health Dept.

August 7, 2011: Amanda Lollar of Bat World Sanctuary admits in her website that she performed a surgical procedure in front of a witness. l can't believe she would post this. Here it is. The visiting vet was not licensed in Texas but SD. lt was not legal surgery, again. She also admits to using anesthesia on the bat. When l witnessed her do the episiotomy last year she told me she can't use anesthesia because it could kill the baby. Maybe that's why it died? Yet another story. Here we go, on the same page she posted this. "As with humans, general anesthesia is not used for an episiotomy" yet she used anesthesia on the one she did this year. Which is it? l save copies of every version of all these stories because she keeps changing things.

She also posted a letter from the DFG rehab coordinator to me. She did not post my response or DFG's ultimate response back. l'll try to find them. Here's the letter.(1) l asked DFG to show me this video and it turns out it did not exist. She was relying on someone else who supposedly saw it. (2) The photos in question were of my legal educational animals. They were not rehab animals. Rehab animals cannot be shown with human toys or near domestic animals. Educational animals can. l clarified it in the website. (3) l did indeed have four approved educational animals approved by the previous rehab coordinator Warden Joe Baima. l still have approval for four educational animals. (4) The photos taken by that person in their website were taken years before they became a volunteer for me. They are not my animals. (5) l fully cooperated with DFG in finding a buddy for the bobcat kitten. Anna Reams just wanted the kitten because kittens are so rare nowadays. She wanted to put it with a six month old kitten which would have killed it so l refused. l gave the kitten to Chuck Traisi with Fund for Animals in Ramona to join with a male kitten the exact same age. He told DFG that Reams should release her six month old kitten and should never put a six week kitten in with a six month kitten. The rehab coordinator apologized for the confusions. She had just become the new rehab coordinator and was listening to the crazy complaints of a couple of mentally ill rehabbers. FTR l did not get a copy of this in my info act request. l'll try to find the reply l wrote. l also spoke on the phone with the coordinator because l was very upset by these false accusations especially the one about a video which did not exist.

August 2, 2011: Update on Moorpark bats. Amanda Lollar of Bat World Sanctuary is now taking credit for "saving" the bats! "GOOD NEWS! For weeks WildRescue.org and Bat World Sanctuary has been working with the city of Moorpark to encourage the exclusion of bats rather than killing (see article below). Despite interference from a supposed animal advocate, the city has opted to follow our advice and humanely exclude any remaining bats roosting in the homeowners roof. Thank you Rebecca and Connie, for leading the fight to save these bats!"

They were not working with the City to save bats. They were attacking the City, health dept and homeowners. Notice she admits below that the health dept stopped responding to her. They told me she was harassing and threatening them. The health dept didn't quarantine the other homes. The City and homeowners have agreed to humanely exclude the bats after 9/1. The health Dept approved this. The City, health Dept and homeowners did this, not Bat World or WildRescue, that's for sure. l can't believe Amanda Lollar of Bat World Sanctuary would take credit when she was actually working against the City, Health Dept and homeowners! This is truly pathological behavior.

August 2, 2011: l just received the minutes of the July 21, 2011 hearing which l did not attend. Randy Turner Fort Worth, Texas lawyer of Bailey & Galyen stated l did not give discovery documents. l gave discovery to my lawyer who then sent it to Turner, 481 items, 216 MB. The disk has a digital date of July 14. He asked for all of my huge video and photo files. Of course it will be on a disk. He said his secretary generally emails it to him. Does he not work out of the office? He definitely received it before the July 21 hearing. l provided my net worth in the discovery document which he read. l provided my USDA permit info as requested. lt's also available online. He asked for information about wildlife permits. Bat World already received a copy of this from CADFG. Not only that but my permits are online. Why did he demand these items in the hearing when he already had them?

ln court he said that l said l was a "bat expert." That's not exactly what l said. l stated the below. Again, this statement was in the discovery DVD which Randy Turner Fort Worth, Texas lawyer of Bailey & Galyen received.

"I am a 'bat expert' compared to the average person on the street. I do not believe I am a professional 'bat expert.' I would consider researchers, scientists with advanced degrees who've done masters or doctoral work on bats with over 20 years of experience to be actual 'bat experts.' "

l refused to turn over my home address because l'm being cyberstalked and harassed by Amanda Amanda Lollar of Bat World Sanctuary and her friend Rebecca Dmytryk. Death threats have been posted, they tried to extort me online, nasty violent emails about guns and rape were sent to me, l was told l would be hunted down and destroyed. Below is Turner's response.

MR. TURNER: Okay. I will say, Judge, that the cyber stalking that's taking place in this case is on the part of the defendant, posting information about my wife, where she works, the boards that she serves on, me, prior cases that I've handled. So it's not a cyber stalking problem over here.

The above is slander and defamation. l didn't write the articles talking about his wife. l haven't mentioned his wife until this paragraph, notice no mention by name. Not only that but l just looked. A press release was sent out about her job. She wants people to know. She's publicly listed on a website. Again, she wants people to know she's a board member. Randy Turner sent out alerts and emails about his past cases. He told people to forward the information. He even intentionally calls the media about his cases. They want people to know that information. They even publicly share their home address. They are public people.

Randy Turner Fort Worth, Texas lawyer of Bailey & Galyen has a lot of enemies especially the pitbull haters. He shouldn't point his finger at me when someone says something negative about him. Look at all the nasty comments about him after he represented the fake lraq war veteran. Look at all the nasty comments about him in reviews of the movie "Mine." He's the villain of the movie playing himself. l had never even heard his name at the time of those events. Turner also pissed off lndyMedia and the ACLU by trying to quash their Freedom of Speech and Freedom of the Press with a fake injunction and threat of being added to my lawsuit. There are many who dislike him with good reason. And FTR l fostered a pitbull. l'm not a pitbull hater though l don't care for irresponsible pet owners.

This is the definition of cyberstalking. "Cyberstalking is the use of the Internet or other electronic means to stalk or harass an individual, a group of individuals, or an organization. It may include false accusations, monitoring, making threats, identity theft, damage to data or equipment, the solicitation of minors for sex, or gathering information in order to harass. The definition of "harassment" must meet the criterion that a reasonable person, in possession of the same information, would regard it as sufficient to cause another reasonable person distress." l have not been doing that but Amanda Lollar of Bat World Sanctuary, Dmytryk, others have.

l sent a cease and desist to Randy Turner Fort Worth, Texas lawyer of Bailey & Galyen about his client cyberstalking me and posting libel and defamation per se about me. Amanda Lollar of Bat World Sanctuary and her friends have dragged my family into this mess. Amanda Lollar of Bat World Sanctuary posted that l am a convicted criminal when that is a complete lie. She posted links to blogs which are 99% pure libel and she knows it. Turner obviously did not tell his client to cease and desist from libeling, defaming, stalking and harassing me. He has no right then to be upset because someone else posts truthfully about his past cases.

July 28, 2011: Amanda Lollar and Bat World Sanctuary continue to libel and defame me and my group. She posted this comment on her FB page, "We have been working with this homeowner and the City of Moorpark to seek a humane solution for the bats. Unfortunately, hundreds of bats roosting in homes throughout this neighborhood now stand a good chance of being trapped and inhumanely killed, thanks in large part to a local animal "advocate," and "We contacted the CDC as well as the CA State Dept of Health. Because the number of bats testing positive is highly unusual, both the method used to test the bats for rabies as well as the species involved has been questioned. So far the Ventura County Health Dept has failed to respond to these questions, as well as recommendations from us as well as the CDC that a humane exclusion should be preformed in a few weeks. An exclusion is the only way to get these bats out safely and permanently, and protect human health in the process. Sealing them in -as the Ventura County Health Dept and the"'experts" involved seem to be advocating- is the equivalent of sealing puppies inside concrete coffins and leaving them to slowly die in the sun. It is a horrific way to kill an animal. Everyone involved in this should be deeply, deeply ashamed."

l offered to help the City with the bats. l offered to take the ill, injured and orphaned bats. l also offered to help them humanely exclude bats as soon as the juveniles were able to fly. l offered to educate the public about bats. The City accepted my offer. l went to the property with the City to take photos of the situation to give to the bat excluders so they could give us a plan. l have never advocated killing the bats. l offered my help for free. l didn't see anyone from Bat World or any other rescue group offer to go and physically help except Cathy Case. All Amanda Lollar of Bat World Sanctuary and her friend Dmytryk have done is threaten the health dept, City and the homeowner. On her FB page Amanda Lollar of Bat World Sanctuary said she solved the problem. She said the owner agreed to wait then exclude them. l was there. He said he wanted to kill all the bats, seal them in right now. He said he'd been threatened by the "bat people." Amanda Lollar of Bat World Sanctuary just makes up these stories of her "success." They are a figment of her imagination. l made a post about the bat exclusion in my blog today here.

July 21, 2011: Result of court hearing today. l was not sanctioned for missing the last depo. l had a very good reason and Turner should have rescheduled when asked. l did not get my protective order. l already handed over all discovery items except one last week. l was asked to remove the letter to Judge Sudderth from this page which l did. lt is the same letter that l sent to the court cc'd to the plaintiff's lawyer so l don't see the problem. lt's not ex parte. There is nothing defamatory in this page. lt is all 100% the truth. Most of it is just legal and public documents.

On the other hand Bat World Sanctuary and Amanda Lollar have posted many libelous and defamatory articles, posts, photos, blogs and pages about me all over the internet, at least 60 pages. They even called me a "convicted criminal" when l have never even been charged with any crime ever in my life. Amanda Lollar of Bat World Sanctuary also has a defamatory new website about me and she set up a few pages in her Bat World site defaming me. l sent a cease and desist to her lawyer about those pages but they continue libeling me. l started this one page about the lawsuit to counter their libelous pages and websites. Amanda Lollar of Bat World Sanctuary lied in her original complaint and she perjured herself in court. *My capital "i" button on my keyboard is broken so l've had to use a lower case "L."

July 20, 2011: Just received my PRAR from the CADFG. Kate Rugroden/Bat World Sanctuary made a request for all of my documents on May 21, 2011. l then made a request for any PRA requests made about me as l knew they'd make a request. Along with my request l sent a legal letter about PRA requests, i.e. what info must be given, what cannot be given. l received the same info they gave to Kate, 100 pages of my various permits, volunteers, animal records, applications, MOUs... Not one complaint in there, not one write up, everything is positive. They also did not give them any of my addresses as l requested, even past addresses which were public. l do a PRAR for Bat World Sanctuary's info and get a ton of negative reports. They do one for my info and only receive positive items. Here is the letter. Their TPWD could have refused to give me some of the info they gave me but they didn't, same thing with the City of Mineral Wells.

July 15, 2011: Amanda Lollar of Bat World Sanctuary just posted a $500 bond so the temporary injunction is now legally in effect. I've hidden all my bat photos and videos for the time being. I've removed every link which I control which was in the injunction. I obviously can't remove articles or links which I never wrote and do not control.

July 14, 2011: Amanda Lollar of Bat World Sanctuary just posted a pic of red tree bat pups in their new incubator. The photo is clearly of them in their old incubator which is the beige cloth pet carrier in their photo. FB post about new incubator. Photo of babies in new/old incubator. You can see their old incubator to the right on the top. You can clearly see only a port-a-bug in the new incubator. In fact the bigger incubator also just has two port-a-bugs in it. She didn't set it up for the crevice bats. She never had towels over the other incubators before. The towels are obviously to cover up the fact that there are no bats in there. Here's video of her supposedly setting it up for the crevice bats. Notice the huge difference?

July 11, 2011: Amanda Lollar of Bat World Sanctuary took in a big brown free-tailed bat which is somewhat rare. She only has one other in her place. Even though there is nothing wrong with it, she is keeping it. Her excuse is that it was blown hundreds of miles from its home. That species is native to Texas. It could have only been blown ten feet for all she knows. That species knows how to migrate to Mexico every winter. It will have no problem finding its way home. She just wanted to keep it because it's rarer. That's called bat hoarding. Now that poor bat will have to live out its life in her "care." We rehabbers are supposed to release healthy wildlife, not hoard them.Page 6

July 7, 2011: It's official. Amanda Lollar and Bat World Sanctuary are the subject of a law enforcement investigation by the USDA Case Id. TX11418. Here is the letter confirming this. I will do another FOIA to get the result of the investigation when they are done with their investigation.

June 27, 2011: Yesterday Bat World Sanctuary tried to post libel and defamation about me on Indybay. It was removed. Few weeks ago they tried the same thing. It was either removed or redirected to the original post about animal cruelty at Bat World. They threaten Indybay with a lawsuit if they don't remove an honest article about animal cruelty. The article is not removed. They post libel about me and it is removed or redirected to the truth. The truth prevails. Sending nasty, threatening letters will not get articles removed. Here's a link to the article in question that they removed. She just did it two more times today, hereand here, both removed within minutes. Libel, defamation, harassing articles will be removed. The truth about animal cruelty committed by Bat World Sanctuary will not be removed.

June 22, 2011: Another plea for money from Bat World Sanctuary. They state their incubators aren't working and they need two new ones. Their "incubators" are two cloth pet carriers with a heating pad underneath and a humidifier. The pet carrier can't break. Heating pads are $20. Humidifiers are $40. They are asking for $1,700 to buy two super expensive incubators, "Dear friends - we are in dire straights right now because incubator system is no longer functioning properly and orphans are coming in daily. We need to purchase two new incubators with humidity systems (http://tinyurl.com/3vxqu9u & http://tinyurl.com/3vjynmu). If 340 of our facebook friends donated just $5 each, we would have enough to cover this critical need. Please help if you can!" This reminds me of the person begging for the super expensive net gun.

June 22, 2011: Motion for protective order filed. I've known since the day after the injunction hearing that the injunction was void. Randy Turner Fort Worth, Texas lawyer of Bailey & Galyen knew he needed a bond. He just didn't want to pay for one. After the injunction hearing he caught up to me in the hallway and said "you'd better remove all those links." I replied "I can't remove what I didn't put online. I can't remove all those links." He said "if you don't remove all those links, I will have you found in contempt, sanctioned and thrown in jail." He knows I can't possibly remove other people's websites or accounts. I'm sure this is why he never set a hearing for his motion for contempt.

June 20, 2011: More proof that Amanda Lollar of Bat World Sanctuary did not exclude the bats. She posted video of her "wild sanctuary" full of babies.

June 16, 2011: My answer to the lawsuit filed today. Answer.

June 16, 2011: Why did Bat World Sanctuary just become a corporation December 2010? They were never a corporation before. Documents. This should link you straight to the file in Texas corporations website.

June 14, 2011: Amanda Lollar of Bat World Sanctuary begging for money to save bats from WNS. She cannot legally keep healthy bats that can reproduce. She cannot let her bats reproduce. She has no permits for an assurance colony. ***

"What we do understand, however, is that Bat World Sanctuary can save bats through the development of captive assurance colonies. Bat World is the only facility to successfully maintain a reproductive colony of insectivorous bats for almost two decades, and they are the only organization stepping up to save bats in danger of extinction from WNS. They have the expertise, but need YOUR help to build a facility large enough to house several species of bats and keep them safe until a cure is found."

She admits she's been breeding bats for two decades, page 4. She cannot legally breed bats. It's a violation of her permit.

"Bat World Sanctuary can save bats through the development of captive assurance colonies. We are the only facility to success- fully maintain a reproductive colony of insectivorous bats for two decades."

Bat World is not the "ONLY organization stepping up to save bats in danger of extinction from WNS." And she wonders why the other legitimate bat experts dislike her. There are MANY groups trying to save bats from WNS. What about the bat rehabber in NJ? BCI? Fish & Wildlife? Look at all the other groups here trying to save bats from WNS. This is the meeting she went to. Notice, she's just listed as a rehabber. Insectivorous Bat Captive Population Feasibility Workshop

Previously she said she needed money to make an "artificial cave" outside of town on donated land so she could relocate the bats from the "wild sanctuary." All she did was copy the design of someone else's artificial cave. That's it. Just a ploy to get donations. It would also be impossible to move the bats from the building to the new cave. She can't expect them just to show up in the new cave four miles away the next year. Plus, she does not show the donated land in her 990. The "wild sanctuary" building is not in the name of Bat World either. It's in the name of the "Beneficial Animal Teaching Society." She claims it is tax exempt. No, it's not. More tax fraud.

People should realize that Amanda Lollar of Bat World Sanctuary doesn't have a job. She lives off Bat World. Her husband Larry Crittenden gives his money to his kids. Amanda Lollar of Bat World Sanctuary told me he does not help out at all financially and barely helps out at home. She owns the building at 217 Oak. Bat World pays for that building's expenses and all upgrades. B.A.T.S. owns the sanctuary building yet Bat World pays for that building as well. Tax fraud?

One quick story to show Amanda Lollar of Bat World Sanctuary's "state of mind." She told me that the St. Louis Zoo had invited her personally to teach them how to keep bats. She told me she was going to ask them for, get this, wait, are you ready? $6,000/day! She asked me if that seemed reasonable. I just went "ahhhhhhhhhh." Keep in mind I was trapped at Bat World until the new intern arrived with a car. I'd checked bus service online but couldn't find any. I had actually considered hitch hiking to Fort Worth.

What she was actually invited to was this "On 14-16 July 2010, an Insectivorous Bat Captive Population Feasibility Workshop was held at the Saint Louis Zoo in Saint Louis, Missouri." People were not paid to go. Many people were invited. While she was there she offered to take 500 bats. She said she currently had room for 500 more bats. She can barely take care of the bats she has now.

A little more to this story. So we went to Walmart to get her a suitcase/bag for her trip. She said she's never traveled before and had no luggage. She was looking at bags that cost $15. *** Who buys a cheap bag at Walmart, uses it and then returns it?

There is a huge stack of phone complaints against Bat World Sanctuary by the public. The complaints are about the odor, guano and unsightly premises. Here's one that sums them all up. Bat World Sanctuary stinks. I just realized why the smell is so bad. There are fans in the doorways of the wild sanctuary upstairs. They are blowing the smell out the windows and through holes in the walls into the street. She uses the fans to keep the bats cooler in the summer. The fans are probably blowing small parties of guano and the ammonia from the urine into the street. It really smelled horrible in that room with all the fans on high. I can only imagine what it would smell like without the fans.

Complaints about her buildings by the City. Looks like she tried to rent the downstairs part of the "wild sanctuary" building on 1st St. after she bought it. She applied for a certificate of occupancy but only got one for two months. She must repair a leaking roof, water heater not vented properly, gas not connected, electrical service will have to be brought up to code. In 1996 she tried to rent it as a karate studio. In 1997 she tried to rent it for commercial storage. In 2007 she tried to rent it as office space. She only got a temporary occupancy permit. These were listed problems, address painted over and too small, needs exit door signs, needs lighted exit door signs, needs working smoke detectors in each room, need to label circuit breakers, extension cord power items plugged into multi-plug adapter in heat a/c closet, needs fire extinguishers with proper tag, receipt, signs, cords in heat a/c closet, need emergency lighting near stairwell as well as luminous exit sign at stairwell. I doubt anyone would ever want to rent the building because of the smell.

Her building at 217 N. Oak was reported in 1995 for discharging waste water to the ground. She was forced to plumb the line into the sanitary sewer system.

June 13, 2011: The ihatemary Facebook page which my stalker of a few years Rebecca Dmytryk and Amanda Lollar created was removed by Facebook because of multiple terms of service violations. Most of the libelous, harassing posts were removed before the entire page was removed. A copy was saved. The ihatemary blog which Dmytryk created and Amanda Lollar of Bat World Sanctuary contributed to still remains. Dmytryk admits in Guidestar that she is working with Amanda Lollar in her libel, defamation, smear campaign against me. The California Wildlife Center kicked Dmytryk off their board. She became violent so they had to get a restraining order against her. Here it is. She went bankrupt last year, was sued for bankruptcy fraud and lost. Here's the lawsuit.

UPDATE - June 12, 2011: Amanda Lollar of Bat World Sanctuary put a sign in the downstairs window of the "wild sanctuary." It reads "This structure is a protected sanctuary for Mexican free-tailed bats (Tadarida brasiliensis), a species listed as endangered by the United Nations Environmental Program's Convention on the Conservation of Migratory Wild Animals." I went to the UNEP website. It is merely a private non-profit corporation which has nothing to do with the real United Nations. I searched the conservation of migratory wild animals. Guess what? Mexican free-tail bats are not only not listed as endangered but they are listed as the least likely mammal to be endangered, i.e. Among the least threatened are moles, opossums and free-tailed bats." Here is the sign Amanda Lollar of Bat World Sanctuary posted.

Randy Turner Fort Worth attorney is unethical The City of Mineral wells sent out this email to at least a dozen people asking for help with the bats. Here is the email and response from one person. Everyone said they need to exclude bats from the building and clean up the guano. Even Bat Conservation International told the City of Mineral Wells that they need to exclude bats from the building and remove the guano. Also note the person states that Mexican free-tail bats are not endangered.

A few links to articles which state Mexican free-tail bats will not get White Nose Syndrome just to prove that Amanda Lollar of Bat World Sanctuary is not being truthful to the City and everyone else.

Bat Conservation International says Mexican free-tail bats will not get White Nose Syndrome

Another article

Amanda Lollar of Bat World Sanctuary sent the City a box from a bottle of Isoflurane. It clearly states "Caution: Federal law restricts this drug to use by or on the order of a licensed veterinarian." No vet would tell Amanda Lollar of Bat World Sanctuary to put a soaked cotton ball in a cup and put that over a bat's head. I have a book here that states specifically NOT to do this. The box says "Since levels of anesthesia may be altered easily and rapidly, only vaporizers producing predictable percentage concentrations of isoflurane should be used." No cotton ball in a cup. The type of iso she is using is meant for dogs and horses.

Amanda Lollar of Bat World Sanctuary sent in a statement that counters my complaint line by line. She admits that I hit my head. She said I claimed to be "fine." No, I didn't. She states I was there four days, try ten. She states her vets Dr. Tad Jarrett, Dr. Sean Jennett and Dr. Wes Agler give her Isoflurane and other drugs. She admits using Iso to anesthesize a bat while she tried to suture it. She admits to breeding insectivorous bats for a "behavioral study." That's not allowed with her permit.Here is a paper which proves she is breeding bats. All of these documents are now public documents because she gave them to a government agency. She even gave them chapters of her book.

She admits that she's given rabies vaccinations but doesn't currently because of a change in the law. The law didn't change. She claims the possibly rabid bat in her hand was poisoned by pesticides even though on the video she clearly says rabies. She never mentioned poison. She states she incinerates dead bats. Where? She just tossed them in the trash when I was there. She states I didn't complain about bug bites while I was there. Yes, I did. So did the other interns. Here is her email to the City. And FTR I didn't threaten to report her. I reported her July 2, 2010 right after I got back home. It just took a while to find the right people to read my reports.

UPDATE - June 10, 2011: Some police reports inre Amanda Amanda Lollar of Bat World Sanctuary. Welfare check, accused someone of forgery and asked for info. She was born 9/30/55, full name Amanda Lorraine Lollar. There are many more reports but I need to redact info so she doesn't sue these people for reporting her like she sued me.

Complaints against Bat World Sanctuary. Bat odor, accumulation of waste, request removal of bat boxes because of accumulation of guano and foul odor. Many more reports. I'll try to load up pages at a time.

link is still good, read the source***. Bat Conservation International in Austin emails them code enforcement laws. BCI suggests bat proofing the building. Health and Safety code, sec 341.001 part 12, nuisances. It was discussed that City Attorney compose letter under the City Health Officials signature Dr. Jarkenton. "Get the bats out of town." That's when Amanda Lollar of Bat World Sanctuary got a lawyer to send a threatening letter to the City. I love bats but I'm sorry, the life of a human comes first. If they did not call animal control and Amanda Lollar of Bat World Sanctuary had answered the call instead, that toddler would probably be dead. She would not have tested the bat for rabies. She would not have told the mother to give him post exposure shots. Thank god Amanda Lollar of Bat World Sanctuary didn't show up and take the bat. Rabies doesn't bother Amanda Lollar of Bat World Sanctuary because she has her pre-exposure shots. As per the Texas health dept "of the five human deaths in Texas due to rabies since 1990, three are attributed to infected bats." This was from 1999 document.

Some info on rabies in Texas. 1995 to 2009, all six people who died from rabies in Texas died from bat rabies. Four were from mexican free-tail bats, one unknown, one by a silver haired bat or eastern pipistrelle. One of four people who died of rabies in 2009 was in Texas. In 2009 there were 443 bats that tested positive for rabies or 27% of all bat rabies in the US. In 2009 they tested 232 Mexican free-tail bats for rabies in the US. 45 were positive or 19.4%. In 2003 Amanda Lollar of Bat World Sanctuary sent in 23 bats for testing. 17 were positive or 73%. I'm pulling this info from the CDC website here Here is a map of bat rabies in Texas. Notice the location of one of the big yellow circles.

Amanda Lollar of Bat World Sanctuary tells City Officials she will shut down the wild sanctuary by October 2011 or so.I doubt she will do this. On Bat World Sanctuary's Facebook page she says she has a lot of babies this year, proof she did not close off the wild sanctuary as she promised the City. I just realized that all the complaints that others made about Bat World are much worse than my complaints.

Amanda Lollar sends 23 possibly rabid bats in for testing from Mineral Wells from June to October 1993. 17 test positive for rabies. They also collected four healthy bats and killed them. Amanda Lollar of Bat World Sanctuary was a part of this project. She okayed the killing of healthy bats? She'll do anything to get her name in an article. Notice she is only included in scientific articles because other real scientists used the wild sanctuary. She will never give that up.

UPDATE - June 9, 2011: Just received over 600 pages of information act requests, more to come. *** There are emails in here in which Amanda Lollar of Bat World Sanctuary states her bats have "white stuff on their nose and wings." She thinks it's WNS. It's not. She tells the City the colony is dying. She even said she's going to close up the wild sanctuary in 2010 after they leave. The City has been telling her to exclude the bats from the building for years. Amanda Lollar of Bat World Sanctuary keeps telling the City that the smell is coming from the Baker Hotel. It's not. I was there. Things are always much worse than I think they are. There are some really crazy documents in this box.

UPDATE: There was even a newspaper article about the 20 month old child and the rabid bat, September 12, 1999. The rabid bat was directly outside of Lollar's wild sanctuary! Part 1 story Part 2 storyTPWD told people to exclude bats from their buildings after the incident. Health dept told the City Attorney to draft a letter to Amanda Lollar of Bat World Sanctuary telling her to "get the bats out of town." Another letter telling people to remove their bat boxes because there was 6-8 feet of bat guano on the sidewalk underneath. Amanda Lollar of Bat World Sanctuary stated her bat boxes were a "success." Guess not.

Amanda Lollar of Bat World Sanctuary called up lawyer Donald Feare to help her deal with the complaints from the city about the rabid bite biting the toddler. That explains why he didn't want to be my pro bono lawyer. Anyway it seems the mother of the toddler claimed the bat came from Amanda Lollar of Bat World Sanctuary's building. I bet it did. It was a baby bat directly outside her building. Her wild sanctuary is 115 N.E. 1st St. Bat was found directly next door at 113 N.E. 1st St. The lawyer tells the City they better consider the complaint "groundless" or he'll sue the City and give them bad press. This is what Amanda Lollar of Bat World Sanctuary does every time. How does she sucker these fools into helping her get away with harming humans and animals? And what type of lawyer threatens to sue and besmirch a City if they follow proper health code protocol and investigate a rabid bat incident? Here is the letter. The lawyer states Bat World brings in tourists and helps the City with bat problems. Bat World brings a handful of volunteers to Mineral Wells. They are the cause of most of the bat problems. That rabid bat most likely came from her maternity colony which is right there. It was a baby bat.

Amanda Lollar of Bat World Sanctuary responds line by line to my complaints. She just perjured herself and admitted to crimes. I'm only halfway through the box. Health dept tells her everyone at Bat World must wear gloves. Here's their letter.Notice I was not the only person who complained. Someone else in Texas also complained. Notice they contacted her in August and September 2010, before I was sued. She sued me because I reported her. I reported her July 2, 2010 right after I got back home. This report stems from my local health dept. I told them I was instructed to hold bats barehanded and I was bitten many times. They contacted Texas health dept. More from the letter, any time a person is bitten a bite report must be made. She has to change wording on her website. Students can't hold ill bats. Dead bats must be incinerated, not thrown in the trash. All possibly rabid bats that had exposure to humans must be euthanized and sent for testing. This is all very different than what she states in her book, in court or what she does in actual practice. I doubt she'll follow their guidelines. Based on recent photos and videos she posted she is not abiding by their guidelines.

I have copies of police reports Amanda Lollar of Bat World Sanctuary made for welfare check, forgery, theft, car accident at her building, criminal mischief, someone slashed her car tire... Amanda Lollar of Bat World Sanctuary tells the City she is moving the bats out of town May 25, 2011. She said she sealed the building October 2010. The City replies with "there have been more complaints coming in." I doubt Amanda Lollar of Bat World Sanctuary is going to exclude the bats and shore up the holes. She's been telling the City this for years. I'm sure the idea of building an artificial bat sanctuary out of town is just a story to keep the City off her back and get donations.

From those emails: Amanda to health inspector going for the sympathy play. The end is near. "May 25, 2010. I just wanted to let you know that White Nose Syndrome has made it to OK and is likely now in TX. It arrived a year earlier than researchers expected. The population at the wild sanctuary is a little less than half of what it should be, and I hardly received any bat calls in town this spring. I'll continue to keep you updated if you'd like, but sadly, it appears to be the beginning of the end. Amanda."

Amanda is not truthful to health inspector, says she's going to exclude the bats from the building. "October 18, 2010. About half of the bats in our building have something white on their ears and various body parts (pictured attached). I sent swabs in to the National Wildlife Health Center a couple of weeks ago and have not heard anything confirming white nose yet. The bats do not act like the white stuff is having any ill effect on them yet. There are still a lot of bats in town, more so than usual because of the warm weather. I planned to seal the north, east and west sides of the building this winter - in Dec or Jan - after the bats are gone. There are more migrating through right now. I've picked bats up from inside the stores about Payless shoes, Bealls and a church last week. I'll keep you posted on what I hear back on the swabs. Hopefully it won't take much longer. Amanda."

October 18, 2010. From the city health inspector who falls for the sympathy play. "Amanda, This news is so disheartening. Please keep me updated."

Amanda Lollar of Bat World Sanctuary just formed "Bat World Sanctuary" corporation at the end of 2010. She gave me her entire email list in my info act request. I even got items I was going to request in discovery. She also sent a ton of libel, defamation about me to the City of Mineral Wells. I just realized that she cc'd her lawyer Randy Randy Turner Fort Worth, Texas lawyer of Bailey & Galyen on these emails. You would think he would tell his client not to put all these things in writing. She admitted to breaking the law. Plus, this is great evidence for perjury.

Some more communications. 2009 the City of Mineral Wells told Amanda Lollar of Bat World Sanctuary she needs to get the bats out of town because of the smell. Amanda Lollar of Bat World Sanctuary emails her May 2010 saying she is doing that. Amanda Lollar of Bat World Sanctuary then goes for the sympathy play and says her bats are going to die from WNS. She said she barely has any bats. A lie as they had a ton when I was there. She also said the tests weren't back yet. The tests were back and they were negative.Link.

June 2009 Amanda Lollar of Bat World Sanctuary responds to the City about all the complaints about the smell. She says WNS will soon kill all the bats. WNS can survive temperatures of 200 degrees F. No, it can't. She says she will be moving the bats out of the City into the artificial cave.Link.

UPDATE - June 9, 2011: Amanda Lollar forges a contract in Talking Talons lawsuit. Sound familiar?. That's a link to the response by Talking Talons. It seems Amanda Lollar dated Daniel Abram. They got cozy at Bat Boot Camp. Amanda Lollar of Bat World Sanctuary then gave him some bats without any written agreement. They were a gift. They broke up, got back together, Daniel was let go from Talking Talons. Amanda Lollar of Bat World Sanctuary and Daniel then forged a written contract after the fact. Amanda Lollar of Bat World Sanctuary then sued Talking Talons. Amanda Lollar of Bat World Sanctuary made a HUGE mistake in the forged contract because of her ego. The proof is right there in the forged contract plain as day.

Talking Talons proved that there was no written contract. In writing Daniel stated many times there was no contract. A communication was even sent to Amanda Lollar of Bat World Sanctuary stating there was no contract. Daniel also did not have the power to enter into a contract as per his employement agreement. They counter sued Amanda Lollar of Bat World Sanctuary and Daniel Abram. Amanda Lollar of Bat World Sanctuary, Abram and Talking Talons then settled.

UPDATE - June 7, 2011: Bat World Sanctuary's complaint against Talking Talons. It seems that Amanda Lollar of Bat World Sanctuary gave the bats to Talking Talons when she was "very friendly" with Daniel Abrams when he was the Director, oral contract only to give the bats to them. He was then let go. Out of thin air a contract was produced by Amanda Lollar of Bat World Sanctuary signed by Abrams. Hmm, she did this when she was married! Anyway, she said Talking Talons had not abided by that contract and she wanted the bats back. Only problem is no written contract ever existed. In fact the terms of the forged written contract would have been impossible at the time of signing as per Talking Talons. The cage requirements would not have fit into the bat rooms.

UPDATE: I just found out who got this lawyer after me, Kate Rugroden. She is Bat World MidCities in Fort Worth, Texas. She is also the person who transports the drugs from Fort Worth to Mineral Wells and back. While she drove me to Mineral Wells she told me she just amputated a bat's wing. That would mean she used isoflurane on the bat as well. She is not a veterinarian. She told me that Amanda Lollar of Bat World Sanctuary showed her how to do it. After I'd been there a few days Kate came back with more drugs and bats. She in turn took some other drugs back to Fort Worth in a box.

UPDATE - June 6, 2011: This is from a 1993 article. She kept her bats in a cabinet. She roamed the streets looking for bats. "Amanda Lollar doesn't have bats in her belfry, but she does have 13 of them in a custom-built, cherry-stained cabinet complete with beveled sides for climbing, cloth "bridges" for bat amputees and a bat-shaped wood latch to secure the doors. The living-room cabinet looks like any other quality piece one would find in a furniture dealer's apartment, but its contents - her children, as Amanda Lollar of Bat World Sanctuary calls them - set her and the bat cabinet apart. Like most people, Amanda Lollar of Bat World Sanctuary once thought bats were offensive, but not anymore. Now, she rises at dawn to roam downtown Mineral Wells daily in search of injured or diseased bats from the town's 30 to 40 colonies, numbering an estimated 50,000 animals. And she supplies healthy bats to zoos nationwide."

Our permits state that bats must be in enclosures 6' x 8' x 8' to 10' x 20' x 8'. You can't keep them in a cabinet. She thinks bats are her "children." I doubt she had a permit the first few years she was "rescuing" bats. It's a crime to possess wildlife without a permit. She also can't give healthy bats to zoos, only unreleasable bats.

I just realized that the bat with one wing was probably one of the bats in her bat desk. It must have crawled out of its pouch, fallen on the floor and could not get back up. She didn't notice one of these severely disabled bats missing? When I was there I witnessed the old pallid bat crawl out of her house then fall into the trash can. Had I not seen it and fished her out, she also would have died.

UPDATE - June 3, 2011: Bat World Sanctuary is now offering to help their donors and fans go into debt. They are asking people to sign up for a credit card so they can get a tiny donation. The interest rate on the card is 11% to 30%! Here are the terms of the card.

I was searching for animal cruelty laws in Texas so I can give the info to the police. It seems that Turner helped make changes in the cruelty laws. Even though the Veterinary board said it was animal cruelty the police said it might not be if it was not intentional. Turner posted this:

"A Message from THLN President Randy Turner: Ok, it’s time to break out the champagne and dance naked in the streets. This has been by far the best legislative session the animals of Texas have ever had. Animal Cruelty: The House concurred with the Senate version of the animal cruelty bill and it is now on its way to the governor’s desk. On September 1st, for the first time in Texas history, it will be a crime to: 1. commit cruelty to stray and feral dogs and cats; 2. recklessly commit cruelty to an animal (prosecutors will no longer have to prove that a person intended to commit cruelty); 3. kill or cause serious bodily injury to animals in a cruel manner which is defined as manner that causes or permits unnecessary or unjustifiable pain or suffering (it will no longer be necessary to prove torture);"

UPDATE - June 2, 2011: I'm going to post a few items just to show that Amanda Lollar of Bat World Sanctuary is not truthful.Amanda Lollar of Bat World Sanctuary performs amputations and c-sections on bats. These are both considered major surgery. She is not a veterinarian. *** In court she said she does not perform surgery on bats.

Amanda Lollar of Bat World Sanctuary told the health dept, USDA, TPWD and the court that she does not have or give rabies vaccinations. Untrue. It's also in her "position statements" in her website and in her book.

UPDATE - JUNE 2, 2011: I just received some of the court documents from the Talking Talons lawsuit. All parties entered into a confidential settlement agreement then all parties filed dismissals with prejudice. I'm still waiting for another document. Part of the confidential settlement is that no party may talk about the case.

USDA just emailed me that they are not done with their investigation into Bat World. They need another month to give me the investigation documents I requested.

UPDATE - June 1, 2011: I just filed my response to plaintiff's motion for discovery sanctions and my request for protective order requiring plaintiff to comply with TRCP 199.1. Document is here. I realize that it is not very legible. Here are my original unsigned files. My affidavit supporting my response. And here is my response to plaintiff's motion for discovery sanctions and defendants request for protective order requiring plaintiff to comply with TRCP 199.1

UPDATE - May 31, 2011: I am not hacking into anyone's private files in their website or computer. The "security measure" was not only unnecessary but worthless. All websites are still visible.

UPDATE - May 30, 2011: Link to article on Bat World Sanctuary's supposed "assurance colony" of disabled, neutered Mexican free-tail bats. I just realized this morning that she is asking for donations for an assurance colony when she does not have one.

UPDATE - May 29, 2011: More information on the Talking Talons lawsuit. She made up some really horrible stories about these people besides forging a document. She's doing the same thing to me. She's now accusing me of animal cruelty in her ihatemary blog.

Some quotes from the article, "Jerry Tuttle, who said he has an extensive background in animal cruelty investigations, checked Talking Talons facilities and told The Independent the animals are well cared for there.

Eric Rasmussen, President of Talking Talons board, 'we're responding and plan to respond in the most aggressive and forthright way, because we find all of the allegations meritless, and we feel the court will so conclude.' "

UPDATE - May 29, 2011: A certain someone tried to hack into my Facebook account last night. I was alerted by Facebook. Trying to hack into my account, making "I hate Mary" blogs and FB pages, stealing my copyrighted photos, posting death threats against me, trying to extort me, personally attacking me, libeling/slandering/defaming me, dragging my friends and family into this mess.... I report Amanda Lollar for animal cruelty and she unleashes all this evil on me in return. I've saved all the evidence.

UPDATE - May 28, 2011: This was just emailed to me by my Google news alert for my name. It's an article about ACLU's letter.The injunction is against me, not Indybay. He can't use an injunction against me to force someone else to remove something on their website. He needs to file lawsuits against all of those other websites in order to get an injunction against them. Those links should never have been in my injunction in the first place. I cannot remove other peoples' articles and images. The judge did not understand.

UPDATE - May 28, 2011: ACLU to Randy Turner, Indybay will not remove the article.

"I am writing on behalf of the San Francisco Bay Area Indymedia ("Indybay") and the American Civil Liberties Union of Northern California. It has come to our attention that you have sent a demand to Indybay that it remove a webpage1 from its website - a webpage that includes texts, photos, and videos concerning Ms. Amanda Lollar and Bat World Sanctuary, as well as links to comments on that initial posting - and have threatened to add Indybay as a defendant in your lawsuit against Ms. Mary Cummins if it does not immediately comply.

Indybay will not remove these materials. Under § 230 of the Communications Decency Act, operators of websites such as Indybay cannot be forced to censor articles and other information that, like the materials here at issue, originate with a third party, even if those materials are defamatory or otherwise objectionable.

Moreover, Indybay has a First Amendment right to display factually accurate materials, including videos and photographs, even if they were acquired unlawfully by a third party. Your demand that Indybay remove the entire webpage, which includes not just the initial post but also links to material supporting and disputing the accuracy of that post as well as information relating to your clients' lawsuit against Ms. Cummins, is clearly overbroad; complying with it would result in the censorship of materials that are clearly protected by the First Amendment, including materials that support Ms. Lollar and Bat World Sanctuary.

In short, whatever the merits of your clients' dispute with Ms. Cummins, Indybay may properly maintain its webpage under § 230 of the First Amendment.

UPDATE - May 27, 2011: ***Here is some of the email correspondence among Texas Parks & Wildlife Department wardens. Will she be forced to neuter all the male insectivorous bats? I hope she doesn't do it herself. More evidence that she's been breeding her bats for years. French, B., Lollar, A. 1998 Observations on the reproductive behavior of captive tadarida brasiliensis."

UPDATE - May 26, 2011: Please, don't send any email to the Judge or Plaintiff's lawyer. Fortunately someone only sent an exhibit in the lawsuit to the judge. I just took the links out for their web pages. I only posted it so you could read their bios. Do not send the judge anything. She won't read it anyway for ethical reasons. Don't call them on the phone or send regular mail either. That would be against her court's rules here. Thanks.

UPDATE - May 26, 2011: *** extortion. Maybe she should start looking for a pro-bono criminal lawyer. It came from a PC using Windows 7 with Firefox 3.6 IP Suddenlink Communications (74.195.64.173) which is Mineral Wells, Texas. That matches Amanda Lollar of Bat World Sanctuary's information from her emails. Someone is getting desperate to get the truth taken off the internet. I just realized this could be her husband Larry Crittenden, employee Jannette Villareal or Amanda Amanda Lollar of Bat World Sanctuary. I just know that it came from Bat World Sanctuary.

UPDATE - May 26, 2011: Amanda Lollar of Bat World Sanctuary has again changed her story about the episiotomy in her website. She no longer states it was at 11 p.m. She realizes that the time/date stamp in the video/photos, the fact that Jannette is there and Kay was in the shower all prove that she lied about the time. The episiotomy was from 9:38 am to 9:45 am. She merely states there was no veterinary help available. Her vet was open and is right down the street. She didn't even call him. Copies of each story have been saved. Here is the last version of her story and the current version. FTR her vet is eight blocks from the rehab bldg, six blocks from the wild sanctuary. His hours are 7:30 am to 5:30 pm Monday to Friday, 8:00 am to 12 pm Saturday. He was open.

UPDATE - May 25, 2011: Texas Parks & Wildlife is still investigating Amanda Lollar and Bat World Sanctuary. Day before yesterday Amanda Lollar of Bat World Sanctuary made her Yahoo group WorldBatLine private. Something to hide?

A few minutes from the last hearing. Amanda Lollar of Bat World Sanctuary admits that she's totally uneducated, didn't even finish high school and has had no formal training at all. She learned everything through the "school of life" and "trial and error." She also states that she has the "largest bat sanctuary in the world" with 200-300 bats even though the Guinness Record for the "largest bat sanctuary" is 1.8 to 2.5 million bats, the Monfort Sanctuary on Samal Island.

UPDATE - May 24, 2011: Yahoo/Flickr just emailed me and said I could put my bat photos back up if I like because Lollar/Bat World did not respond to my counter complaint.

UPDATE - MAY 24, 2011: I just started receiving the response from my state info act requests. People have been complaining about Bat World for years. Here are some, lots more to come, over 500 pages. I first need to redact the complainer's personal info so Amanda Lollar of Bat World Sanctuary doesn't start attacking, harassing, stalking them.

Texas Parks & Wildlife used to have Lollar and Bat World Sanctuary listed for bats on their main page. They just removed that listing. She now can only be found in Palo Pinto County. FTR I never complained about Amanda Lollar of Bat World Sanctuary being on their main page. Link to emails from TPWD.

In these info act requests I got a copy of all of Lollar's emails about me to various government agencies. She has committed libel and defamation per se against me. I guess she thought I'd never see these.

City of Mineral Wells Health Dept reports Bat World for strong odor 6/24/09 to Texas Parks & Wildlife. Notice, June 2009, a year before I ever went to Bat World so the complaint didn't come from me.

"The City has received complaints regarding the foul smell coming from 115 N.E. 1st Ave. for years, especially in the hot summer months. The odor is so strong, that if you just walk by the building briefly, your clothing will smell like bat excrement, urine.

Chris, the City of Mineral Wells' concern is the intense odor coming from the building in the heart of the downtown area. The City's desire is to approach the problem in an appropriate manner. Your suggestions and guidance would be appreciated." from Donna Robbins the Health Inspector for the City of Mineral Wells

Here is a link to the complaint in pdf format. I was there. You can smell the building from quite a distance. I pity the people who live/work anywhere near there. Not all bats go into the building. Some hang out outside and leave guano urine on the sidewalk. When I was at the Desert Studies Center for the two day bat symposium we were given six samples of bat guano to smell. Mexican Free Tail guano is much stronger than all other bat guano.

There were so many emails sent to Texas Parks & Wildlife complaining about Bat World Sanctuary that they had to draft a standard reply email. Here is conversation among people at TPWD about what to tell people. And FTR there are time/date stamps on all videos and photos. In another email they stated they don't want to look at the photos or videos because they're graphic. They were hoping they wouldn't be admissable as evidence because they don't think there are time/date stamps. I sure hope they did look at them.

Here are some of the complaints. They are public documents created by others. They are jpgs. 1 2 3 4 5 6 7 8 9 10 11

August 20, 2010. From Texas Dept of State Health Services to TPWD. This was not my complaint. "We are looking into practices at Bat World in Mineral Wells as regards risk of rabies exposure. Can you enlighten me on their status as to permits with TPWD? Does TPWD have any regulatory language about personal protective equipment use is bat handling? Other TPWD regs that address safe handling or risk mitigation? Should I direct my inquiry elsewhere in your agency? If so, to whom?"

From person who controls Amanda Lollar of Bat World Sanctuary's wildlife rehab permit to someone else in the dept.

March 24, 2011 "My concern was if she is intentionally breeding and/or not taking all measures possible to prevent breeding. Thanks."

Amanda Lollar of Bat World Sanctuary is not only letting the insectivorous bats breed but she happily posts their geneology in her book. She happily brags about the new births in worldbatline. It's against regulations to allow rehab animals to breed.

Here are a few pages from one of my info act requests. This is from the Texas health dept. They state any animal suspected of rabies must be reported to the health dept. In court Amanda Lollar of Bat World Sanctuary said only animals that bite people must be reported. Amanda Lollar of Bat World Sanctuary must report all the possibly rabid bats she gets in but she doesn't. It also states only veterinarians may have and give rabies vaccinations. I just noticed that I forwarded the health dept email to the police dept as instructed. The City of Mineral Wells then forwarded it to Amanda Lollar of Bat World Sanctuary, the person I was filing a report against. That is against the law.

Here is a copy of her permit.*** read the link

"General Facilities Standards. 8. Wildlife held shall be observed daily. Diseased, stressed, injured or lame wildlife shall be provided with appropriate care or humanely destroyed." She does not look at every animal every day as evidenced by the dead one found under her desk. In email she said she wasn't there over three days.

"9. Handling of animals shall be done expeditiously and carefully so as not to cause unnecessary discomfort, behavioral stress, or physical harm to the wildlife." She is not to cause discomfort, stress or physical harm.

UPDATE - May 24, 2011: New info about Talking Talons lawsuit. A contract seems to have materialized out of thin air after the fact, sound familiar? Talking Talons in squabble over bats. A writer is now interested in this story.

UPDATE - May 23, 2011: I just discovered that Amanda Lollar and Bat World Sanctuary sued Talking Talons Youth Leadership. They are a non-profit that educates children about wildlife and the environment. Amanda Lollar of Bat World Sanctuary sued for "breach of contract" and "specific performance rescission equitable relief." I heard that Amanda Lollar of Bat World Sanctuary gave some bats to this non-profit group then she wanted them back. She told others that they "stole her bats." She claimed that Talking Talons was not giving them proper care as per some contract. She claimed they didn't get proper care in order to rescind the contract she signed. Amanda Lollar of Bat World Sanctuary even filed a false report to the USDA against them. If you look at the USDA records, they inspected Talking Talons and everything was fine during that time. The case was dismissed with prejudice, i.e. Amanda Lollar of Bat World Sanctuary lost and cannot refile.

What's interesting is that this person went to Bat Boot Camp. They once thought positively about Amanda Lollar of Bat World Sanctuary. There was a personal falling out. Amanda Lollar of Bat World Sanctuary sued them to try to get her bats back as a kind of pay back for the fall out. She also defamed them. When the court saw all the documents they dismissed the frivolous lawsuit. Does that sound familiar to anyone? This woman has a history of filing frivolous/meritless lawsuits, lying, committing perjury, fabricating documents, defaming, libeling people on the internet in response to personal tiffs. Here's cut/paste from court file.

BAT WORLD VS TALKING TALONS CASE NUMBER D-202-CV-200811394 JUDGE - NAN G NASH 10/31/2008 COURT- ALBUQUERQUE DISTRICT

09/28/2009 CLS: DISMISSAL W/PREJUDICE FILING ORDER OF DISMISSAL WITH PREJUDICE OF CLAIMS BY PLAINTIFF BAT WORLD SANCTUARY AGAINST DEFENDANT TALKING TALONS YOUTH LEADERSHIP

Here's a link to the pdf of the court file. Even better a link straight to the court file online. I'm going to try to get the documents. When it comes to lawsuits so far Amanda Lollar of Bat World Sanctuary is 0 for 1. The case lasted a year. There was expensive discovery, depositions and hearings. I was told Amanda Lollar of Bat World Sanctuary had to pay costs and fees of the defendants but I'm not certain yet. Randy Turner Fort Worth, Texas lawyer of Bailey & Galyen will be spending a lot of time and money on this case only to lose and look foolish when the court reveals the truth. I see they amended their complaint three times. Did her story change just as it's changing in my case?

UPDATE - May 21, 2011: Just posted in worldbatline the section of her book on feelings and emotions. She states bats can feel anger, distrust, fear. When bats exhibit fear they act aggressively and try to flee. So if a bat were say, I don't know, having a surgical procedure done without pain relief and it was kicking, biting, trying to get away, that would mean it was experiencing fear and pain? Just asking.

UPDATE - Amanda Lollar of Bat World Sanctuary's camp just posted "Mary Cummins proof of defamation." Google search it. She posted the images and text that she sued to have removed. She wanted the images and text removed from the internet because they supposedly "defame" her and "harm her reputation beyond repair." Then why did SHE just re-post them on the internet? It is also not proof of defamation by me. There's no proof that I posted the one on the right. Plus, the text as I read it is the truth. The truth is never defamation. Her lawyer needs to sit her down and have a talk with her.

UPDATE - Amanda Lollar of Bat World Sanctuary has sued people frivolously and lost before. Here is one case against Talking Talons. I checked out their USDA inspections during the time in question and they had perfect reports.

UPDATE - Amanda Lollar of Bat World Sanctuary is now telling people that BCI is causing her financial ruin. "What Mary is doing is bad enough, but like an annoying fly, she'll soon be squashed. However, when BCI made their insinuating post to over 5000 people on their facebook page, they reached our target audience - we share the same membership base. We now stand a very real change of facing financial ruin because of what BCI did to us." Always the victim. She forgets she's been attacking BCI for years. Amanda Lollar of Bat World Sanctuary told me that BCI gets all the money when she, Amanda Lollar of Bat World Sanctuary actually does all the work saving bats. She told me BCI doesn't save any bats. Amanda Lollar of Bat World Sanctuary should not be shocked that BCI is not supporting her after what she did to Barbara French, one of their own.

UPDATE - MAY 20, 2011: Amanda Lollar of Bat World Sanctuary is now asking people to post links to her libel about me on their websites. Her goal is to spam the search engines so people will not see the articles about her and animal cruelty. They will instead see her libel about me. She sent this email to people. "Your friends at Bat World are being attacked by false accusations of abuse by a person, Mary Cummins. Amanda Lollar, Bat World, sent out the plea below asking everyone that has a website or friends with websites to post her websites on their active websites so she can get her search engine results up higher, so that when people are searching for "Amanda Lollar" or "Bat World", her websites and true information will come up instead of the accusations on the websites this Mary Cummins has created." She's trying to cover up the truth by burying it. She's libeling me because I reported her for abuse. This is what she's done for years when people speak against her. There's a very long list of people she's victimized in the bat community. Heck, she even attacks her friends and family.

UPDATE - MAY 20, 2011: Amanda Lollar and Bat World Sanctuary are kicked off GoDaddy hosting services for copyright infringement against me. Anyone see the irony here? She had my copyrighted images in her website. She was reported, they shut down her site, she removed them, she put them back up, she was reported, they shut down her site, she removed them, she put them back up, she was reported and GoDaddy sent her packing. While the CEO of GoDaddy might not be the most animal friendly person, they did act quickly and properly.

Of course here is Amanda Lollar of Bat World Sanctuary's story, "We are switching the batworld.org domain to better protect our website from our stalker friend, who has recently been attempting to hack into our site. My sincere apologies to anyone who has recently purchased the book. The site will be up and running again very soon."

I have never hacked into any website ever. Hacking is a federal crime. I have never stalked anyone, never been charged with stalking, never convicted. More libel. If someone were just changing hosts, they would not dump their website then get a new host.

More from Amanda Lollar of Bat World Sanctuary. She admits GoDaddy shut off her site, "The switch was not supposed to cause any downtime at all, but godaddy decided to turn it off on their end rather than waiting until the switch was complete. The new server says to give them 24 hours to have the site running again, but it may be sooner than that. If anyone is planning on using godaddy to host your site, I recommend against it. Besides owner Bob parsons slaughtering an elephant and boasting about it, they don't offer much security for their clients and their customer service leaves much to be desired."

She had no problem using GoDaddy up until this morning. They booted her. She didn't boot them. Now she calls him an animal slaughterer. Why didn't she leave when the video first surfaced in March? I posted about him March 31, 2011. Why'd she wait two months to "leave?" The "security" issue with her website was Amanda Lollar of Bat World Sanctuary's fault, not GoDaddy's. Her site was secure. Her html skills are just lacking.

UPDATE - May 18, 2011: For the last two weeks Amanda Lollar of Bat World Sanctuary and her friends have been libeling and defaming me on the internet. They have been posting libel per se. A cease and desist was sent to her lawyer yet the behavior continues. Amanda Lollar of Bat World Sanctuary even posted a death threat against me on her Yahoo group. She's since made an ihatemary website. She's also working with a stalker posting an ihatemary blog and Facebook page. Copies of everything are being made. In the meantime two more organizations are investigating Amanda Lollar of Bat World Sanctuary and more evidence is being sent to authorities.

UPDATE - May 17, 2011: USDA just sent me a confirmation of my FOIA request. They will be giving me a copy of their investigation into Bat World Sanctuary. I will post it here as soon as I get it. I sent in a longer report after they confirmed they were investigating. This document was made by the USDA. It's a public document.

NEWS UPDATE - May 11, 2011: Bat Conservation International comments about the allegations of animal cruelty. "Bat Conservation International - Regarding these specific claims, the regulatory agencies that oversee Bat World Sanctuary’s permits, Texas Parks & Wildlife and the US Department of Agriculture, have been contacted about this situation. Bat Conservation International works closely with both of these authorities on bat related issues. We trust they will conduct a thorough investigation and take appropriate actions if warranted."

September 15, 2010.Bat World Sanctuary/Amanda Amanda Lollar of Bat World Sanctuary original complaint

November 29, 2010 Defendant's special appearance and motion to dismiss on personal jurisdiction.

January 25, 2011.Affidavit of Mary Cummins in support of motion to dismiss for lack of jurisdiction

January 28, 2011.Memorandum to support motion to dismiss for lack of jurisdiction

February 9, 2011. Letter to Judge Bonnie Sudderth (removed) requesting that I appear by brief or telephone. She never responded. The court coordinator told me the judge only reads the documents at the time of the hearing, not before. I flew to Texas.

Exhibits submitted to the court. I have a LOT more evidence but I haven't submitted it yet. I will be posting it all here after it's been submitted to the court.

May 3, 2010 I receive an email offering an internship to Bat World Sanctuary

May 3, 2010 I sent in my application for the Bat World internship. Application for internship

May 26, 2010 I am notified that I was accepted into the internship. I was accepted into internship

Amanda Lollar of Bat World Sanctuary states in her original complaint that she did not give me permission to take photos, videos.

June 25, 2010 I emailed Amanda Lollar of Bat World Sanctuary letting her know that I had loaded photos up to my Facebook page. She said "Thank you Mary!!" I email Amanda Lollar of Bat World Sanctuary my FB page with photos. She likes them and even says thank you

June 21, 2010 I was handed this document when I arrived in Mineral Wells, Texas, "General rules and expectations during your internship." It clearly states "14. Take as many pictures as you like of both procedures and bats." Intern Rules

Amanda Lollar of Bat World Sanctuary stated I loaded up all my photos and videos AFTER I left Bat World. Pdf print out of the dates all of my YouTube videos from Bat World were loaded up. I blacked out images of the videos. I loaded all of them up but one while at was at Bat World from June 21, 2010 to June 28, 2010. Every day Amanda would talk about the videos and thank me. She even instructed me to take photos and videos. She liked having them on YouTube.Videos were posted before I left

May 4, 2011 Amanda Lollar of Bat World Sanctuary submitted copies of my YouTube videos. You can clearly see the date I loaded them up on her copies. She just made these videos public by entering them as evidence in this public case. If she states that the videos share copyrighted, proprietary information, why did she just share them with the world? Here is an exhibit she submitted. It is not my photo or video. It is her public legal exhibit which she freely submitted to the court. It is now a public document. It shows my video was loaded June 28, 2010.

I have a print out of all of my Facebook images. They were also posted while I was at Bat World, uploaded June 21 to June 28, 2010. I submitted them as evidence May 4, 2011. I'd repost it here but I can't post those photos. May 4, 2011 Amanda Lollar of Bat World Sanctuary also submitted evidence to the court. It was copies of my Facebook images. The date I loaded them up is on her documents. You can clearly see they were loaded before I left. She submitted evidence which proves she lied in her original complaint. She also submitted my photos in this public court case even though she said my images harm her and show proprietary and copyrighted techniques.

A short note on copyrighted material. The fair use act of copyright states "Copyright protects the particular way authors have expressed themselves. It does not extend to any ideas, systems, or factual information conveyed in a work." It also states "Section 107 contains a list of the various purposes for which the reproduction of a particular work may be considered fair, such as criticism, comment, news reporting, teaching, scholarship, and research." One, I am a non-profit educator and commenter on animal issues. Two, I never copy/pasted a single word from her book or website. Three, her book was available for free. There was a link to the flip book and the pdf file on that page. The flip book has a download button. There were no agreements to sign. It was public. Four, she's been posting similar photos, videos on YouTube, Yahoo and her website for years. Five, she wrote a how-to book. If you didn't want people to use the techniques, don't write a how-to book.

A short note on proprietary material. Here is a summary of proprietary information. From their site, "Proprietary information, also known as a trade secret, is information a company wishes to keep confidential. Proprietary information can include secret formulas, processes, and methods used in production. It can also include a company's business and marketing plans, salary structure, customer lists, contracts, and details of its computer systems. In some cases, the special knowledge and skills that an employee has learned on the job are considered to be a company's proprietary information."

Bat World Sanctuary is a non-profit. The purpose of the internship was to teach people to care for bats so they could teach others. I did not learn anything new at Bat World. Everything I saw was already in the 2002 Barbara French & Amanda Lollar book. It was in her public website and Yahoo group. I had read the current Chapter nine on caring for babies before I arrived at Bat World as its available for free online. Amanda Lollar of Bat World Sanctuary gave me a printed copy the day I got there and told me to read it all again. It was the same as what I'd already read. I therefore did not receive any proprietary material while at Bat World, nor did I share any. On top of this Amanda Lollar of Bat World Sanctuary did not want the information to be confidential. If she did, she would not have posted it on the public internet on her website, Yahoo, YouTube, Facebook and MySpace.

A short note on defamation.Defamation "is the communication of a statement that makes a claim, expressly stated or implied to be factual, that may give an individual, business, product, group, government, or nation a negative image. It is usually a requirement that this claim be false and that the publication is communicated to someone other than the person defamed (the claimant)." I have never defamed Amanda Lollar or Bat World Sanctuary. I have never lied about them. They have submitted no proof of any defamatory material.

May 4, 2011 Bat World Sanctuary got a temporary injunction against me. I was instructed to remove my photos and videos which I took while at Bat World. I am not allowed to personally repost them while this case continues. Anyone else can post, repost my photos and videos which they have. You can use Google search to see the photos and videos which others have posted. There are now even quite a few articles which others have written.

This is how Amanda Lollar of Bat World Sanctuary served me with this lawsuit. I have a serviceable address so she could have mailed it. Instead she played a nasty trick on me. This is what she did.

I personally feel that this lawsuit is flawed, frivolous, malicious and meritless. Soon I will prove that in court. If you have any comments, questions or information, you can contact me here mmmaryinla@aol.com.

*Everything I am posting here is from public legal documents. They are not copyright protected. Anyone can get copies of them. By submitting them as legal exhibits, she made them all public documents. Here is a link to the court rules which state this. I have not loaded up my photos or videos. I only loaded up copies of her exhibits. I am only talking about the lawsuit here. I'm not talking about her possibly proprietary or copyrighted techniques.

This is not the first time I have been sued for standing up for what's right. Here are the last two cases which I won. I was also pro se.

Ashton Technology vs Mary Cummins.

Kathy Knight-McConnell vs Mary Cummins.

More information about Mary Cummins

Biography of Mary Cummins

Curriculum vitae of Mary Cummins in animal rescue, activism and wildlife rehabilitation

Curriculum vitae of Mary Cummins in real estate


  © Copyright 2002-2012 Animal Advocates